相關定義
嚴格計算法
多組分多級分離的簡捷計算法等近似計算法只適合於初步設計,對實際工程的簡化,優點是快速方便。缺點是:(1)計算結果不夠準確,(2)無法得到每一塊板上的組成及溫度。對於完成多組分多級分離設備的最終設計,必須使用嚴格計算法。逐級計算法屬於嚴格計算法。
嚴格計算法的核心是聯結物料衡算、相平衡和熱量衡算式,這些關係式是強烈的非線性方程式。數字計算機的廣泛套用,使得用程式化的方法求解聯立方程組成為可能。
平衡級模型
普通N級逆流裝置平衡級平衡級模型是指利用塔板平衡關係,列出過程特性的整套假設和預計可觀測到的特性所需的相應方程或方程組。其優點是可以把它用於多種操作方案,靈活性很強。其主要特點如下:
(1)具有N個平衡級,從上到下為1到N,冷凝器和再沸器各算一塊板;
(2)除冷凝器和再沸器外,每一塊板上均有一個進料F,一個汽相側線采出G,一個液相側線采出U,一個加熱或冷卻單元Q;
(3)離開各板的汽液兩相達到平衡。
在平衡級j級,共有(2c+3)個計算方程(MESH),分別是:
(1)M方程:物料衡算(Material balance),c個;
(2)E方程:相平衡(Equilibrium),c個;
(3)S方程:摩爾分率加和式(Fraction summation),2個;
(4)H方程:熱量平衡式(Enthalpy balance),1個。
概念
逐級計算法以分離塔中某一已知條件的平衡級為起點,根據相平衡、物料平衡和熱衡算式,反覆逐級計算出各級的條件,一般是由塔的一端開始。逐級計算法廣泛套用在精餾過程的設計型計算中,尤其適用於手算。逐級計算法關鍵問題之一是確定適宜進料位置。
計算步驟
簡易精餾塔如圖所示的簡單精餾塔,其設計型計算的設計變數的規定方法為:固定設計變數為c+N+2,可調設計變數為5。
設計變數規定為:(1)飽和液體回流;(2)輕關鍵組分回收率;(3)重關鍵組分回收率;(4)回流比;(5)最適宜進料位置。
逐級計算法中的工作方程為:
逐級計算法;
逐級計算法;
逐級計算法;
逐級計算法。
假定塔頂的餾出液組成可以準確估計,逐級計算。從上往下計算,計算步驟為:
逐級計算法(1)對於全凝器有:;
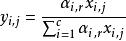
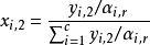
逐級計算法(2)套用相平衡關係,計算第一塊板流下的液相組成,如果已知各組分的全塔平均相對揮發度數據,則有:;
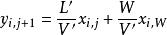
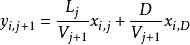
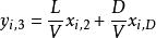
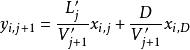
逐級計算法(3)利用精餾操作線方程計算第二塊板上升汽相組成:;
逐級計算法(4)重複步驟(2)、(3),一直到進料級,以後換成提餾段操作線方程:;
逐級計算法
逐級計算法(5)當滿足以下條件時:和,停止逐級計算,校核估計值;
(6)適宜進料位置確定:如何確定適宜進料位置是逐級計算法的關鍵,適宜進料位置為達到規定分離要求所需總級數最少的進料位置。
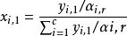
逐級計算法逐級計算也可以從下向上計算。計算的第一步是利用泡點方程由釜液計算與之平衡的汽相組成和溫度。如果已知相對揮發度數據,可以由下式計算汽相組成:,然後利用操作線方程計算上一塊板流下的液相組成。
計算中的關鍵
適宜進料位置確定
確定適宜進料位置的方法主要有兩種:
(1)按上述逐級計算步驟,選擇一系列進料位置,計算出所需的總理論級,利用理論級與進料板的關係曲線確定適宜進料位置。
(2)適宜進料位置的近似確定方法是以輕、重關鍵組分的濃度之比作為精餾效果的準則,當逐級從上向下計算時,要求輕、重關鍵組分汽相濃度比值降低越快越好。從下往上計算時,要求輕、重關鍵組分液相濃度比值增加越快越好。
逐級計算起點的確定
計算起點的確定和對非關鍵組分初值的估計與校驗是逐級計算的另一個關鍵,以塔頂為計算起點還是以塔底為計算起點取決於哪一端的組成可以準確估計。
對於只有輕非關鍵組分的物系,餾出液的組成可以準確估計,計算應該從塔頂開始。
對於只有重非關鍵組分的物系,塔釜液的濃度可以準確估計,計算應該從塔底開始。
如果進料中既有輕非關鍵組分,又有重非關鍵組分,則無論是餾出液或釜液的組成都不容易準確估計。此時,無論從哪一端開始計算都不理想,可以分別從兩端開始往進料級計算,但通常收斂困難。在這種情況下,逐級計算不是一種好方法,宜採用其他方法。
逐級計算中初值的修正
在確定了計算起點後,應該估計該起點的組成,但通常要使估計值具有較高的準確度是很困難的。需要對估計值進、行修正。
逐級計算法以從上向下計算為例,如果估計值準確,則計算步驟(5)中的不等式會滿足,然後由輕非關鍵組分的組成計算值、關鍵組分的回收率和全塔物料平衡計算餾出液組成。若:,則需要修正估計值。
優缺點及適用範圍
逐級計算法具有以下優缺點
(1)優點:可用於設計型計算;
(2)缺點:需知道x、D、x、W,累計誤差大;
(3)適用範圍:只有輕組分或重組分物系。

