基本介紹
逆序數列
逆序數列
逆序數列
逆序數列
逆序數列
逆序數列
逆序數列
逆序數列
逆序數列
逆序數列
逆序數列
逆序數列
逆序數列
逆序數列
逆序數列
逆序數列
逆序數列利用逆序來描述排列的方法是M.Hall,Jr發現的。逆序的概念是一個舊概念,它在矩陣的行列式理論中起著重要作用。令是集合的一個排列。如果而,稱為一個 逆序。於是,逆序對應一對數,它們在排列中失去自然次序。例如,排列31524中有4 個逆序,即的唯一沒有逆序的排列是。對於排列,我們令表示第二個分量為的逆序個數。換句話說,等於排列中先於且又大於的那些整數的個數。它度量的失序有多少。數列稱為排列的逆序數列。上例給出的數列的逆序數列是。
逆序數列排列的逆序數列必須滿足條件
逆序數列
逆序數列
逆序數列
逆序數列
逆序數列
逆序數列
逆序數列這是顯然的,因為對每一個,在集合中都有個整數大於k。利用乘法原理,可知滿足的整數的個數等於。這些數列中每一個都唯一地對應的一個排列 。
定理構造方法
逆序數列
逆序數列
逆序數列
逆序數列定理1 設是整數數列且,則存在的唯一排列,其逆序數列是。
逆序數列證明:我們介紹一種方法,可用來唯一地構造其逆序數列為的一個數列。
逆序數列
逆序數列:寫 出。
逆序數列
逆序數列
逆序數列
逆序數列
逆序數列
逆序數列
逆序數列:考察:。已知,如果,,則必在n的前面。如果,則必在n的後面。
逆序數列
逆序數列
逆序數列
逆序數列
逆序數列
逆序數列
逆序數列
逆序數列
逆序數列
逆序數列
逆序數列
逆序數列考察。已知。如果,則必在由步得到的兩個數之前,如果,,則必在由步得到的兩個數之間。如果,,則必在由步得到的兩個數之後。
逆序數列
逆序數列
逆序數列
逆序數列
逆序數列
逆序數列
逆序數列
逆序數列
逆序數列
逆序數列
逆序數列
逆序數列(一般步)考察。已知,在由n到的各步中,k個數已按要求的次序放好。如果,則必在由步得到的所有數之前。如果,則必在頭兩個數之間。...如果,則必在所有數之後。
...
1:...
逆序數列
逆序數列
逆序數列作完諸步之後,就唯一確定了的排列,其逆序數列是。
逆序數列
逆序數列
逆序數列
逆序數列
逆序數列
逆序數列
逆序數列
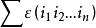
逆序數列習慣上,根據的排列的逆序個數是偶數還是奇數,稱它為 偶排列或 奇排列。排列的符號則根據它是否為偶或奇定義為+1或-1。在矩陣的行列式理論中,排列符號的概念是重要的,這裡階矩陣的行列式定義為。這裡求和是指對的所有排列求和,為的符號。
逆序數列
逆序數列
逆序數列
逆序數列
逆序數列
逆序數列
逆序數列
逆序數列
逆序數列若排列具有逆序個數為的逆序數列則可以相繼經過k次交換相鄰兩數得到。我們首先把1逐次與個在它左邊的數進行交換。然後把2逐次與個在它左邊的大於2的數交換,等等。用這種方法經次交換後,我們得到。
例題解析
逆序數列
逆序數列試確定的排列,使其逆序數列為,對於給定的逆序數列,按照定理證明中的步驟,得到下面的結果:
逆序數列
逆序數列
逆序數列
逆序數列
逆序數列
逆序數列
逆序數列
逆序數列
逆序數列於是,所求排列為。

