智慧型化追溯方法
食品鏈網路
食品鏈上的各個組織通過產品交易或倉儲、運輸等業務建立了錯綜複雜的聯繫,形成一個有向無環的鏈網結構,稱為食品鏈網路.
追溯單元
追溯單元指需要對其來源、用途和位置的相關信息進行記錄和追溯的單個產品或同一批次產品。
食品鏈追溯最佳化方法通過對歷史交易等信息的統計分析,估計食品鏈網路中追溯單元在各節點間的流轉時間分布特徵;採用兩節點間是否存在追溯單元流轉及其流轉時間分布的數學期望作為變數,以兩節點間路徑總時間與給定時間的差值最小為最最佳化目標,建立最佳化模型。在給定時間點預測追溯單元在食品鏈網路中的流動狀態,估測流轉路徑,並採用Monte Carlo仿真對估測路徑終端的時間分布進行模擬,以驗證其可行性。
估計食品鏈網路中各節點間的時間分布特徵
在食品鏈網路片段中,節點Ni表示追溯單元流經的組織,有向箭頭連線的兩端分別表示產品的發出節點和接收節點,函式f(t)表示節點間的時間分布特徵。將追溯單元在兩節點間的流轉時間t看作連續隨機變數,採集n個時間樣本,按斯特格斯(H·A·Sturges)提出的經驗公式k=1.87(n-1)2/5,將樣本區間分成k個互不相容的等距區間Aq=(aq,aq+1],(q=1,2,…,k),統計落入各區間的樣本個數,計算各區間的累積頻率,使用樣本頻率分布對變數分布形態進行初步估計。得出初步結論後,通過極大似然估計法估計分布參數,採用總體分布的χ2擬合檢驗對估測參數進行檢驗,以保證獲得合理的節點間時間分布函式f(t)。
建立路徑估測最佳化模型
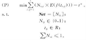
根據機率理論,流轉時間連續變數的數學期望可用來表征該時間分布的數字特徵。因此,以兩節點間是否存在追溯單元流轉及其流轉時間分布的數學期望為變數,以兩節點間路徑總時間與給定時間的差值最小為最最佳化目標,建立路徑估測最佳化模型(P)。
追溯單元式中:t*為由某個指定節點起始的時間長度,或某兩節點之間的給定時間差;i和j表示節點編號,由於食品鏈網路是有向無環圖,父節點的編號總是小於子節點的編號;s表示節點最大編號。採用矩陣Net=[Nij]表示食品鏈網路片段,Nij表示節點i和j之間是否有連線,取值為0或1,1表示產品流通包含該路徑片段;tij為追溯單元在節點i和j之間的流轉時間函式。約束條件∑eNej≤1表示一條途徑節點j的路徑中只存在單一來源和單一去向,e表示節點j的所有父節點。
預測追溯單元流動狀態
在食品鏈網路中指定一個節點I,在模型(P)中增加約束條件{i,j}≥I,求解模型(P),可得由節點I出發的追溯單元某時刻的流經節點和到達節點,預測追溯單元的流動狀態。
估測追溯單元流動路徑,進行模擬驗證
在食品鏈網路中指定起始端節點I和終端節點J,在模型(P)中增加約束條件I≤{i,j}≤J,求解模型(P),得到追溯單元在兩節點間的流動路徑。採用Monte Carlo仿真所得路徑的時間分布,查看t*在所得路徑的時間分布中出現的機率,以確定可信度高的追溯單元流動路徑。

