轉差率
轉子電流頻率
轉子電流頻率
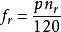
轉子電流頻率轉子的實際機械轉速通常用同步轉速的分數以及與之有關的轉差率表示。轉差率定義為:
轉子電流頻率轉差率也可用轉差率的百分數表示為:
轉子電流頻率轉差百分數=
轉子電流頻率推導
轉子電流頻率
轉子電流頻率
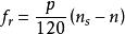
轉子電流頻率轉子不動時,由定子產畢的旋轉磁場相對於轉子繞組的速度與相對於定子繞組的速度完全一樣。於是,轉子電流的頻率與定子電流的頻率相等。當轉子以同步速旋轉時,旋轉磁場與轉子之間沒有相對運動,轉子電流的頻率為零。在其它轉速下,轉子電流的頻率正比於轉差率,證明如下。
轉子電流頻率
轉子電流頻率
轉子電流頻率首先,在個極的磁場裡,以轉速旋轉的導體,其感應電流的頻率為:
轉子電流頻率
轉子電流頻率在感應電動機里,轉子導體與定子產生的旋轉磁場之間的相對轉速為:
轉子電流頻率得到轉子電流的頻率為:
轉子電流頻率綜合上式有:
轉子電流頻率變換得:
轉子電流頻率
轉子電流頻率
轉子電流頻率這就是所謂的轉差頻率. 在上式中,轉子電流頻率,定子輸入電流(或電壓)的頻率。
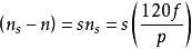
綜上所述:
定子旋轉磁場以同步速旋轉ω(相對於靜止的觀察者)。
轉子磁勢產生的旋轉磁場也是與定子磁勢產生的旋轉磁場同方向、同樣的同步速旋轉。定、轉子產生的旋轉磁場彼此之間是相對靜止的。
轉子產生的旋轉磁場相對予轉子的轉速為(ω-ω),其中ω是轉子本身實際的機械轉速。
在轉子中感應的電流和電壓其頻率是轉差頻率。
1.定子旋轉磁場以同步速旋轉ω(相對於靜止的觀察者)。
2.轉子磁勢產生的旋轉磁場也是與定子磁勢產生的旋轉磁場同方向、同樣的同步速旋轉。定、轉子產生的旋轉磁場彼此之間是相對靜止的。
3.轉子產生的旋轉磁場相對予轉子的轉速為(ω-ω),其中ω是轉子本身實際的機械轉速。
4.在轉子中感應的電流和電壓其頻率是轉差頻率。
深槽式及雙籠型異步電動機
從以上對籠型異步電動機的啟動分析可知,直接啟動時,啟動電流太大;降壓啟動時,雖然減小了啟動電流,但啟動轉矩也隨之減小。根據異步電動機轉子串聯電阻的人為機械特性可知,在一定範圍內增大轉子電阻可以增大啟動轉矩,轉子電阻增大還將減小啟動電流,因此較大的轉子電阻可以改善啟動性能。但是,電動機正常運行時希望轉子電阻小一些,這樣可以減小轉子銅損耗,提高電動機的效率。怎樣才能使籠型異步電動機在啟動時具有較大的轉子電阻,而在正常運行時轉子電阻又自動減小呢?深槽式和雙籠型異步電動機就可實現這一目的。
深槽式異步電動機
圖1深槽式異步電動機的轉子槽形深而窄,通常槽深與槽寬之比為10~12或以上。當轉子導條中流過電流時,漏磁通的分布如圖1(a)所示。由圖可見,與導條底部相交鏈的漏磁通比槽口部分相交鏈的漏磁通多得多,因此若將導條看成是由若干個沿槽高劃分的小導體(小薄片)並聯而成,則越靠近槽底的小導體具有越大的漏電抗,而越接近槽口部分的小導體的漏電抗越小。當電動機啟動時,由於 轉子電流的頻率較高,轉子導條的漏電抗較大,因而各小導體中電流的分配將主要決定於漏電抗,漏電抗越大則電流越小。這樣在由氣隙主磁通所感應的相同電動勢的作用下,導條中靠近槽底處的電流密度將很小,越靠近槽口則越大,因此沿槽高的電流密度分布如圖1(b)所示,這種現象稱為電流的集膚效應。南於電流好像被擠到槽口處,因而又稱為擠流效應。集膚效應的效果相當於減小了導條的高度和截面(圖1(c)),增大了轉子電阻,從而滿足了啟動的要求。
當啟動完畢,電動機正常運行時,由於轉子電流頻率很低,一般為1~3 Hz,轉子導條的漏電抗比轉子電阻小得多,因而前述各小導體中電流的分配將主要決定於電阻。由於各小導體電阻相等,導條中的電流將均勻分布,集膚效應基本消失,因而轉子導條電阻恢復(減小)為自身的直流電阻。可見,正常運行時,深槽式異步電動機的轉子電阻能自動變小,從而滿足了減小轉子銅損、提高電動機效率的要求。
雙籠型異步電動機
圖2雙籠型異步電動機的轉子上有兩套籠,即上籠和下籠,如圖2(a)所示。上籠導條截面積較小,並用黃銅或鋁青銅等電阻率較大的材料製成,電阻較大;下籠導條的截面積較大,並用電阻率較小的紫銅製成,電阻較小。雙籠型電動機也常用鑄鋁轉子,如圖2(b)所示;顯然下籠交鏈的漏磁通要比上籠多得多,因此下籠的漏電抗也比上籠大得多。

