轉動光譜
正文
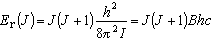
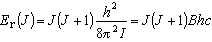
一個分子的同一電子態和同一振動能級的兩個不同的轉動能級間躍遷所產生的光譜。體系的轉動能量Er是量子化的,對於一個剛性的雙原子分子,在圍繞通過其質心且與原子核連線成正交的一個軸線轉動的情況下,其能量值為:
是轉動常數,h是普朗克常數,c是光速,I是分子繞軸鏇轉的轉動慣量,J是與轉動態對應的轉動量子數,它可以取0,1,2,…一系列整數。由此可以得到一系列分立的能級(見圖)。當轉子從較低的能級(J″)躍遷到較高的能級(J′)時,吸收光量子,從而產生純轉動的吸收光譜。躍遷時的選擇要求為: ΔJ=±1
吸收光譜的頻率為:
v=2B(J+1)
此式說明純轉動光譜是由一系列等間距的,頻率為2B、4B、6B、…的譜線所組成。兩條相鄰譜線的波數差等於常數2B。非剛性雙原子分子和多原子分子的純轉動光譜則要複雜得多。
轉動光譜
