平面迴路
在一條處於平面的載流迴路中,磁偶極矩是電流乘於迴路面積:
載流迴路
載流迴路
載流迴路
載流迴路其中, 為磁偶極矩, 為電流, 為面積矢量。
面積矢量和磁偶極矩的方向是由右手定則給出:順著電流方向,將四根小手指朝著手掌彎曲,伸直大拇指,則大拇指所指的方向即是面積矢量的方向,也是磁偶極矩的方向。
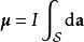
任意迴路
載流迴路對於任意迴路案例,假設迴路載有電流 ,則其磁偶極矩為
載流迴路
載流迴路
載流迴路其中, 是積分曲面, 是微小面積元素,
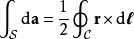
引用矢量積分恆等式
載流迴路
載流迴路
載流迴路
載流迴路
載流迴路
載流迴路其中, 是 邊緣的閉合迴路, 是微小線元素, 是 的位置。
所以,
載流迴路力矩和能量
載流迴路
載流迴路載流迴路在磁場中的力矩 和能量,與磁矩的關係為:
載流迴路
載流迴路
載流迴路其中, 為磁場。

