概念
踵部底板簡稱踵板,常用於擋土牆的固定。懸臂式擋土牆常由三個部分構成,即立臂、趾板和踵板。
擋土牆的用途
擋土牆是用來支撐天然邊坡或人丁填土邊坡以保持土體穩定的建築物。從邊坡穩定性分析可知,當邊坡穩定係數沒有達到工程要求時.邊坡是不穩定的.很有可能出現滑塌等破壞現象。這時需要採取工程措施保證邊坡穩定性,而擋土牆往往是常用的一種保持邊坡穩定的措施。在公路工程中.它廣泛套用於公路路堤或路塹邊坡、隧道洞口、橋樑及河流岸壁等。因此.擋土牆的用途可簡要歸納如下:
①降低挖方邊坡高度,減少挖方數量,避免山體失穩滑塌;
②收縮路堤坡腳。減少填方數量和占地面積.保證路堤穩定;
③避免沿河路基擠縮河床.防止水流沖刷路基;
④防止山坡覆蓋層下滑和整治滑坡。
圖1按照牆的設定位置。擋土牆可分為路肩牆、路堤牆、路塹牆和山坡牆等類型(圖1)。
擋土牆的分類
圖2按照設定擋土牆的位置,路基擋土牆可分為路肩牆、路堤牆和路塹牆等,如圖2所示。
擋土牆按材料和結構特點的不同而有很多形式,其中套用較多的有:石砌重力式、鋼筋混凝土薄壁式、錨定式、垛式和加筋土式等。
薄壁式擋土牆
圖3
圖4薄壁式擋土牆是鋼筋混凝土結構.包括懸臂式和扶壁式兩種主要形式。
懸臂式擋土牆如圖3所示,它是由立壁和底板組成,具有三個懸臂,即立壁、趾板和踵板。當牆身較高時.沿牆長每隔一定距離築肋板(扶壁)聯結牆面板及踵板,稱為扶壁式擋土牆,如圖4所示。它們的共同特點是:牆身斷面較小.結構的穩定性不是依靠本身的重量。而主要是依靠踵扳上的填土重量來保證。它們自重輕,適用於牆高較大的情況(不大於7m),但需使用一定數量的鋼材,經濟效果較好,其適用於石料缺乏地區。扶壁式擋土牆沿懸臂式牆的牆長,每隔一定距離設定一道扶壁,增強牆面板(立壁)與牆踵板的連線,以承受較大的彎矩作用,當牆高時較懸臂式經濟。
扶壁式擋土牆設計
牆踵板內力的計算
圖5牆踵板可視為支承於扶壁上的連續板,不計立板對它的約束,而視其為鉸支。內力計算時,可將牆踵板順牆長方向劃分為若干單位寬度的水平板條,根據作用於牆踵上的荷載,對每一連續板條進行彎矩、剪力計算,並假定在每一連續板條上的最大豎向荷載均勻作用在板條上。
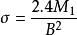
作用在牆踵板上的力有:計算牆背與實際牆背間的土重及活荷載、牆踵板自重、作用在牆踵板頂面上的土壓力豎向分力、由牆趾板固端彎矩M。作用在牆踵板上引起的等代荷載以及地基反力等。
牆踵板彎矩引起的等代荷載的豎直壓應力可假設為拋物線分布,如圖5所示,其重心位於距固端5B/8處,由彎矩的平衡可得牆踵處的應力:
踵部底板將上述荷載在牆踵板上引起的豎直壓應力疊加,即可按照連續梁求解牆踵板內力。
由於假設了牆踵板與牆面板為鉸支連線,故不計算牆踵板橫向板條的彎矩和剪力。

