簡介
跡數
跡數
跡數
跡數
跡數線上性代數中,一個 的矩陣的 跡(或 跡數),是指 的主對角線(從左上方至右下方的對角線)上各個元素的總和,一般記作 或 :
跡數
跡數其中 代表矩陣的第 i行 j列上的元素的值。
例子
設有矩陣:
跡數它的跡是:
跡數性質
跡數
跡數
跡數
跡數
跡數
跡數
跡數
跡數給定一個環,跡是一個從係數在環中的 矩陣的空間 射到環 之上的線性運算元。也就是說,對於任兩個 的矩陣 、 和標量,都有:
跡數
跡數
跡數
跡數
跡數更進一步來說,當 是一個域時,跡數函式是矩陣的空間上的一個線性泛函。
跡數
跡數由於一個矩陣的轉置矩陣的主對角線元素和原來矩陣的主對角線元素是一樣的,所以任意一個矩陣和其轉置矩陣都會有相同的跡:
跡數矩陣乘積的跡數
跡數
跡數設 A是一個矩陣, B是個矩陣,則:
跡數
跡數
跡數
跡數
跡數其中是一個矩陣,而是一個矩陣。
上述的性質可以由矩陣乘法的定義證明:
跡數
跡數
跡數
跡數
跡數
跡數
跡數
跡數
跡數如果和都是的方形矩陣,那么它們的乘積和也會是方形矩陣。因此,利用這個結果,可以推導出:計算若干個同樣大小的方形矩陣的乘積的跡數時,可以 循環改變乘積中方形矩陣相乘的順序,而最終的結果不變。例如,有三個方形矩陣、和,則:
跡數但是要注意:
跡數更一般地,乘積中的矩陣不一定要是方形矩陣,只要某一個循環改變後的乘積依然存在,那么得到的跡數依然會和原來的跡數相同。
跡數
跡數
跡數另外,如果、和是同樣大小的方陣而且還是 對稱矩陣的話,那么其乘積的跡數不只在循環置換下不會改變,而且在所有的置換下都不會改變:
跡數跡數的相似不變性
跡數
跡數跡數擁有相似不變性。如果矩陣和相似的話,它們會有相同的跡。這一性質可使上面講過的循環性質來證明:
跡數
跡數
跡數
跡數1.矩陣和相似也就是說存在可逆矩陣,使得
跡數2.因此
矩陣跡數和特徵多項式
跡數
跡數
跡數
跡數
跡數一個的方形矩陣的特徵多項式定義為減去倍的單位矩陣後所得到的矩陣的行列式:
跡數
跡數
跡數
跡數
跡數特徵多項式是一個關於的 n次多項式,它的常數項是的行列式的值,最高次項是,而接下來的 n-1次項就是,也就是說:
跡數矩陣跡數與特徵值
跡數當係數域是代數閉域時(否則可以將係數域擴展到其代數閉包上來看),特徵多項式有 n個根,它可以表達成:
跡數
跡數
跡數其中的是特徵多項式的不同的根,而是這些根在特徵多項式里的重數,稱為代數重數。顯然,所有代數重數加起來等於 n。一方面,特徵多項式的根就是矩陣的特徵值,而另一方面,藉由根與多項式係數的關係可以知道:特徵多項式的所有的根加起來等於矩陣的跡數。所以矩陣的跡數是矩陣的所有特徵值(按照代數重數計算)的和。
跡數如果將矩陣寫成它的若爾當標準型的話,也可以看出這一點,因為若爾當標準型的特徵多項式的所有的根(包括重根)就是對角線上的所有元素。
如果不區分相同或不同的特徵值的話,上述關係也可以寫成:
跡數
跡數其中的是矩陣的特徵值。 而且有:
跡數線性映射的跡數
跡數
跡數
跡數
跡數
跡數
跡數
跡數設係數域為的是一個有限維的向量空間,維數是 n。給定任一線性映射,可以定義此一映射的跡數為其變換矩陣的跡,即選定的一個基底並用對應於此基底的一個方形矩陣描述,再定義這個方形矩陣的跡數為的跡數。這個定義下的跡數和所選取的基無關:只需要注意到不同的基底的選取實際上等價於對變換矩陣做一次相似變換,而兩個相似的矩陣的跡數是一樣的。因此這樣的定義是自洽的。
跡數
跡數另外一種定義涉及到行列式的性質。考慮的一個基底,以及函式:
跡數
跡數
跡數
跡數根據行列式理論,這個函式也是一個行列式型的函式,也就是說存在一個只取決於的量,使得
跡數
跡數
跡數可以證明,這個純量就等於之前定義的的跡數。
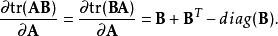
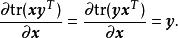
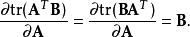
跡的梯度
由跡的定義可知跡可以看作是矩陣的實標量函式,所以我們可以通過求實標量函式的梯度來求跡的梯度。
單個矩陣
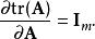
跡數A是m×m矩陣時,有
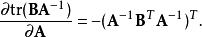
跡數m×m矩陣 A可逆時,有
跡數對於兩個向量 x和 y的外積,有
兩個矩陣
跡數若 A為m×n矩陣,有
跡數若 A為m×m矩陣,有
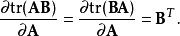
跡數若 A為m×n矩陣, B是m×n矩陣,有
跡數若 A為m×n矩陣, B是n×m矩陣,有
跡數當 A和 B均為對稱矩陣時,有
跡數若 A和 B都是m×m矩陣,並且 B是非奇異矩陣,有
參見
•行列式
•若爾當標準型
•對角矩陣
•三角矩陣
•特徵多項式
