赫茲振子的輻射
正文
“赫茲振子”是指H.R.赫茲於1887年所發明的原始輻射系統,它由兩塊40厘米見方的平行金屬盤電極和兩根30厘米長的金屬桿火花間隙放電器組成,用導線和感應線圈相連線以供給高壓電,利用振子自身的電感電容產生衰減的高頻振盪(圖1a)。這種振子也可以用金屬圓球來代替金屬盤(圖1b)。這兩種振子現代統稱為電容性載入的電偶極子振子,以區別於兩終端電流為零的無載振子(圖1c),它們都是中心饋電的半波振子的原始形式。當兩個大小相等,符號相反的電荷+q與-q相隔一個小距離α (這裡,α
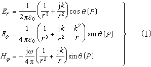
λ,λ是振盪波長)時,定義電偶極矩E=qα。當E 隨時間t呈周期性變化時,偶極振子就處於振盪之中,它是最簡單的球面波源。可直接套用麥克斯韋方程組並結合具體的邊界條件對於這類振子的輻射問題求解。但是,由於數學上的困難,赫茲只是對振子的長度α遠小于波長λ的情況下,求出了近似解。這時的輻射就是電偶極子輻射。在簡諧激勵下,在自由空間中的電磁場為 
k=ω/с是波數,
是真空中的光速,μ0是真空的磁導率,
,P0=q0α,q0是振盪電荷的振幅值,當kr
1時,振子的場為
(2)
1時,振子的場分量為
(3)
Eθ、Hφ、r(傳播方向)彼此相互垂直並符合右手定則。這種場稱為遠區場。
赫茲振子的輻射
求出
(4)
的方向沿著傳播方向r(r1是沿r方向的單位矢量)。因此,沿著振子軸線方向(θ=0),|
|=0;而在垂直於振子軸線的赤道面內
,|
|為最大。這些結果均為實驗所證實。 圖2a表示在遠區場中某一固定點r處,位於坐標原點赫茲振子的輻射場E,H和傳播方向r三者的方向關係;圖2b表示│E│(或│H│)與
的方向圖形,其中,外曲面與內曲面分別表示 sinθ與sin2θ的極坐標圖形。從振子中心到曲面上某點的矢徑長度和沿這方面的sinθ或sin2θ的大小成正比。
赫茲振子的輻射
赫茲振子的輻射
赫茲振子的輻射圖4表示在某一時刻t赫茲振子的電力線和磁力線分布。
參考書目
H.Hertz,Electric Waves,McMillan, New York,1894.
J. A. Stratton, Electromagnetic Theory,McGraw-Hill, New York, 1941.

