簡介
贊格蒙空間是連續函式類的一個子類。
贊格蒙空間
贊格蒙空間
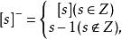
贊格蒙空間設s是非負實數,s=[s]+{s},其中0<{s}≤1,且 那么贊格蒙空間定義為 這裡
函式空間
數學中,函式空間指的是從集合X 到集合 Y 的給定種類的函式的集合。其叫做空間的原因是在很多套用中,它是拓撲空間或向量空間或這二者。
經典分析學研究中出現了許多重要的函式空間。對一些類型的函式空間,現已取得相當豐富的理論成就。
赫爾德空間
赫爾德空間是在偏微分方程理論中常用到的一類函式空間。
設Ω是Rn中的一個區域(連通開集),α(0<α≤1)是常數。設k是非負整數,在Ω中具有所有不超過k階連續偏導數的函式集合C(Ω)中,所有k階偏導數在Ω中具有指數α的局部赫爾德連續性的函式所成的子空間稱為赫爾德空間C(Ω)。
