基本介紹
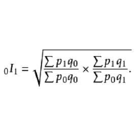
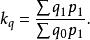
費希爾理想公式是美國統計學家費希爾(I.Fisher)所主張的取拉斯貝爾斯公式和派許公式的幾何平均數的一種物價指數公式。其公式為:
費希爾理想公式費希爾認為,這個公式既能滿足 時間顛倒測驗,又能適合 因子顛倒測驗,故他認為最為理想。但這個公式仍不適合循環測驗。編制理想指數所需要資料繁多,在實際工作中很少套用。目前在世界上,只有少數幾個國家在編制進出口商品價格指數時,用到這個公式 。
時間顛倒測驗
時間顛倒測驗亦稱時間互換測驗,指計算期對基期的指數和基期對計算期的指數的乘積應等於1。以公式表示:
費希爾理想公式
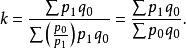
費希爾理想公式
費希爾理想公式上式: 代表計算期對基期的指數,稱為 前進指數; 代表基期對計算期的指數,稱為 後退指數。
因子顛倒測驗
因子顛倒測驗亦稱因子互換測驗,指物價指數和相應的物量指數的乘積應等於其價值指數。以公式表示:
費希爾理想公式
費希爾理想公式
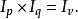
費希爾理想公式
費希爾理想公式式中: 代表物價指數, 代表物量指數, 代表 價值指數。
循環測驗
循環測驗指第一個時期對基期的指數和第二個時期對第一個時期指數的乘積,應等於第二個時期對基期的指數。以公式表示:
費希爾理想公式
費希爾理想公式
費希爾理想公式
費希爾理想公式式中: 為第一個時期對基期的指數; 為第二個時期對第一個時期的指數; 為第二個時期對基期的指數 。
拉斯貝爾斯指數
拉斯貝爾斯指數簡稱 拉氏指數,是指用基期的銷售額作為權數,對個體價格指數求加權算術平均數,得出個綜合價格指數公式;同時,用基期銷售額(或產值)對個體物量指數求加權算術平均數,得出一個與價格綜合指數相對應的綜合物量指數的方法。這兩個指數都是德國人 拉斯貝爾斯於1864年提出的。拉斯貝爾斯兩個綜合指數的基本公式是:
拉氏價格指數公式:
費希爾理想公式拉氏物量指數公式:
費希爾理想公式拉氏指數公式可由三種加權取得。
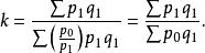
1. 以加權的綜合式即得到拉氏式:
費希爾理想公式
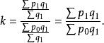
費希爾理想公式2. 以 加權的算術平均式,也可得到拉氏式:
費希爾理想公式
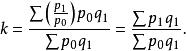
費希爾理想公式3.以 加權的調和平均式,也可得到拉氏式:
費希爾理想公式派許指數
派許指數簡稱派氏指數,是指用報告期的銷售額作為權數,對個體價格指數求加權算術平均數,得出一個綜合價格指數公式;同時;用報告期銷售額對個體物量指數求加權算術平均數,得出一個與價格綜合指數相對應的綜合物量指數的方法,這兩個指數是德國人 派 許於1874年提出的。派許的兩個綜合指數的基本公式是:
派氏價格指數公式:
費希爾理想公式派氏物量指數公式:
費希爾理想公式派氏公式可由三種加權所得。
費希爾理想公式1. 以 加權的綜合式,即得派氏式:
費希爾理想公式
費希爾理想公式2. 以 加權的算術平均式,也可得到派氏式:
費希爾理想公式
費希爾理想公式3. 以 加權的調和平均式,也可得到派氏式 :
費希爾理想公式
