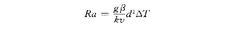
當由底部加熱水平金屬板上的流體薄層時,開始只有微觀的熱傳導而巨觀上保持靜止.但當溫度梯度超過某臨界值時,流體會突然出現巨觀可見的對流圖案結構.當上表面為自由時,從上向下可見其形狀為六角形格子;而上表面亦有平板約束時,從側面觀察則可見對流呈兩兩相背方向的旋轉捲筒狀. 這種現象稱為貝納德對流.後人進一步研究發現,其失穩條件為瑞利數
貝納德對流 達到某臨界值,其中g為重力加速度,月為流體體積膨脹係數,k為熱導率,v為運動粘性係數,d為流體層厚度,DT為流體上下面溫差值.貝納德對流是非平衡系統自組織或耗散結構現象的早期例子(參見 “耗散結構理論”).
