簡介
貝爾特拉米映射是球面到平面的一種特殊映射。
在空間直角坐標系中,取一個半徑為 a 的球面,設球心 C 在 z 軸上,且球面與平面 xOy 切於坐標原點。對於球面上任一點 M,過 C,M 作直線交於 xOy 面於一點 m,稱 m 為球麵點 M 經過球心投射而得到的對應點,並規定球面上在一條直徑上點的對應平面上的同一點。這樣就得到球面到平面的一個映射(如圖)。
圖1.這個映射是貝爾特拉米 (Beltraim,E.)在研究羅氏幾何時首先提出來的,稱為貝爾特拉米映射。
羅氏幾何的基本性質
貝爾特拉米映射
貝爾特拉米映射
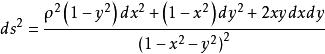
貝爾特拉米映射因為羅氏平面可以看成半徑為純虛數的球面,所以,利用貝爾特拉米映射可以導出羅氏幾何的基本性質。設球面上點 M 點坐標為的對應點 m 在 xOy 面上,記為 m(x,y)。又設,這裡 ρ 稱為羅氏曲率半徑,由球面上弧長的微分式可以導出羅氏平面弧長的公式
貝爾特拉米映射半徑為 s 的羅氏圓的面積是
貝爾特拉米映射