簡介
貝塞爾(Bessel)濾波器具有最平坦的幅度和相位回響。帶通(通常為用戶關注區域)的相位回響近乎呈線性。Bessel濾波器可用於減少所有IIR濾波器固有的非線性相位失真。
貝塞爾(Bessel)線性相位濾波器正是由於具有向其截止頻率以下的所有頻率提供等量延時的特性,才被用於音頻設備中,在音頻設備中,必須在不損害頻帶內多信號的相位關係前提下,消除帶外噪聲。另外,貝塞爾濾波器的階躍回響很快,並且沒有過沖或振鈴,這使它在作為音頻DAC輸出端的平滑濾波器,或音頻ADC輸入端的抗混疊濾波器方面,是一種出色的選擇。貝塞爾濾波器還可用於分析D類放大器的輸出,以及消除其它套用中的開關噪聲,來提高失真測量和示波器波形測量的精確度。
雖然貝塞爾濾波器在它的通頻帶內提供平坦的幅度和線性相位(即一致的群延時)回響,但它的選擇性比同階(或極數)的巴特沃斯(Butterworth)濾波器或切比雪夫(Chebyshev)濾波器要差。因此,為了達到特定的阻帶衰減水平,需要設計更高階的貝塞爾濾波器,從而它又需要仔細選擇放大器和元件來達到最低的噪聲和失真度。
傳遞函式
描述貝塞耳濾波器低通濾波器的傳遞函式如下:
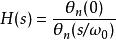
貝塞爾濾波器這裡θn(s)是一個反向貝塞耳多項式,ω0是選定的期望截止頻率。
簡單例子
下面是一個三階貝塞爾低通濾波
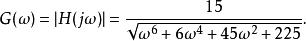
貝塞爾濾波器gain值為
貝塞爾濾波器相位為
貝塞爾濾波器群延遲為
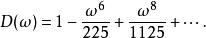
貝塞爾濾波器群延遲的泰勒級數展開為
貝塞爾濾波器注意在ω2和ω4的二個項是零,在ω=0造成非常平坦的群延遲。這是可以調整到零項的最大數量,因為在三階貝賽爾多項式中總共有四個係數,要求定義四個等式。一個等式是為了在ω = 0 時,結果是統一的。第二個等式指定ω =無窮時結果是零,剩下二個等式指定二個項的級數展開是零。這是n秩貝賽爾濾波的群延遲的一般特性:在群延遲的前n-1級數展開的項為零,因而ω = 0時群延遲的扁平得以最大化。
特性
圖一貝塞爾濾波器的相移與頻率關係如圖一所示。
從圖上可以看出,貝塞爾濾波器帶來的延時,基本是線性的,保證了濾波後的信號波形的完整性,貝塞爾濾波器在通頻帶內,其幅度特性也較為平坦,如圖二所示。
但是與相同階數的巴特沃斯、切比雪夫濾波器相比,貝塞爾濾波器在信號衰減方面有劣勢,其阻帶下降回響速度過慢,所以一般設計成高階數的濾波器來達到相應的阻帶衰減水平。
圖二貝塞爾濾波器在通頻帶範圍內,有近似的線性時延特性和較平坦的幅度特性,保證了信號處理的準確性及信號的無畸變傳輸,從而使貝塞爾濾波器常用作音頻系統ADC輸入之前的抗混疊濾波器以及DAC輸出端的平滑濾波器。在生物醫學信號放大與處理過程中也得到廣泛的套用。

