目的
土具有被水透過的性能稱為土的滲透性。滲透性質是土體的重要的工程性質,決定土體的強度性質和變形、固結性質,滲透問題是土力學的三個重要問題之一,與強度問題、變形問題合成土力學的主要三大問題。滲透試驗主要是測定土體的滲透係數,滲透係數的定義是單位水力坡降的滲透流速,常以cm/s 作為單位。
試驗方法原理
1、滯後時間的概念
變水頭滲透試驗在鑽孔中注水後出現一剩餘水頭H並以初始流量q進行滲透,當H消散到零水頭時所需要的時間為滲透時間。但實際上剩餘水頭H與滲透流量q是隨時間而變化的,所以要找到一個變數,使剩餘水頭與相應的時間所取得的結果恰等於上述剩餘水頭H以初始流量q的流速使H消散時所需的時間T,稱為滯後時間。
2、滯後時間的原理
根據達西定律,可確定在剩餘水頭H的情況下其初始流量q為:
q=KHF
式中:q——為初始流量,cm /min;
H——為初始剩餘水頭,cm;
F——為試驗段和蓄水管的幾何形狀係數,cm(右表)。
試驗儀器
變水頭滲透試驗1、變水頭滲透儀測定粘質土在變水頭下滲透試驗的滲透係數。主要由上蓋,底座,套座,環刀,透水石,螺桿等組成,該儀器與在壓緊方式上改成中間螺旋桿旋壓,並對同類型儀器不足之處做了適當改進,操作使用更為簡便。
2、滲透容器:由環刀、透水石、套環、上蓋和下蓋組成。環刀內徑61.8mm,高40mm;透水石的滲透係數應大於10 cm/s)。
3、變水頭裝置;由滲透容器、變水頭管、供水瓶、進水管等組成。變水頭管的內徑應均勻,管徑不大於lcm,管外壁應有最小分度為1.0mm 的刻度,長度宜為2m 左右。
試驗步驟
1、參照變水頭滲透儀水電部土工試驗規程SD128-012-84,製備樣,或參照JTJ051--93《公路土工試驗規程》T013-93
變水頭滲透試驗的試樣分原狀試樣和擾動試樣兩種,其製備方法分別為:
(a)原狀試樣:根據要測定的滲透係數的方向,用環刀在垂直或平行土層面方向切取原狀試樣,試樣兩端削平即可,禁止用修土刀反覆塗抹。放入飽和器內抽氣飽和(或其他方法飽和);
(b)擾動試樣:當乾密度較大(ρ≥1.40g/cm )時,用飽和度較低(St≤80%)土壓實或擊實辦法制樣;當乾密度較低時,使試樣泡於水中飽和後,製成需要乾密度的飽和試樣。
2、把滲水石,密封圈放入底座中,將套筒內壁塗一層凡士林,放入土樣環刀,刮淨多餘凡士林置於底座上。
3、裝好儀器,檢查是否漏水。將調節管與供水管相連,由儀器底部充水至水位達到金屬透水板頂面時,放入濾紙,關止水夾;
4、取代表性風乾土樣3~4kg,稱重精確至1g,測定風乾含水率;
5、將試樣分層裝入儀器,根據預定孔隙比控制試樣密度。每層裝完後從調節管進水至試樣頂面。最後一層應高出上測壓管孔3~4cm。待最後一層試樣飽和後,繼續使水位上升至圓筒頂面。將調節管卸下,使管口高於圓筒頂面,觀測三個測壓管水位是否與孔口齊平;
6、量測試樣頂面至筒頂余高,計算出試樣高度。稱量剩餘土樣,計算出裝入質量,計算試樣乾密度和孔隙比;
7、供水管向圓筒頂面供水,使水面始終保持與滲透儀頂面齊平,同時降低調節管高度,形成自下向上方向的滲流。固定調節管在某一高度,過一段時間後,三個測壓管水位達到穩定值,表明形成穩定滲流場;
8、在不大於200cm水頭作用下,靜置某一時間,待出水管口有水逸出後即可開始測定;
9、試驗時,將水頭管沖水至需要高度後關管夾開動秒表,同時測記起始水頭h1,經過時間t後,再測記終止,同是測記試驗時與終止時的水溫。
技術要求
1.變水頭滲透儀要有銘牌,銘牌上應標明產品名稱、型號規格、編號、製造廠名和出廠日期。
2.儀器鑄件表面應無明顯氣孔砂眼,滲水塗層應平整光潔均勻和色調一致,不應有起皮碰傷劃痕等影響外觀質量的疵弊。
3.上蓋下蓋及套筒應以耐腐蝕耐磨損不易變形的金屬材料製造,表面及內壁表面粗糙度RM6.3。
4.透水板兩端應平整,其滲透係數應不小於1X10三次方厘米。
5.環刀,應符合(切土環刀)SD191-86的規定。
6.儀器組裝擰緊後環刀應不懸空和不受壓損並應在100KPa氣壓下不泄漏.
7.水力量管應符合B級滴定管1-100ml要求。
數據處理
為了取得在各土層條件下測得工程所需的不同滲透參數,可在試驗段選擇如下裝置形式:
1)鑽孔全部下套管,孔底敞口,試驗土層與孔底齊平。
2)鑽孔全部下套管至孔底,孔底敞口,試驗土層頂板為不透水層。
3)鑽孔不下套管或部分下套管,試驗段裸露或下花管,孔壁與孔底進水。
4)鑽孔不下或部分下套管,試驗段裸露或下花管,孔壁與孔底進水,試驗土層頂部為不透水層。
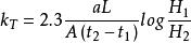
變水頭滲透係數應按下式計算:
變水頭滲透試驗式中
a——變水頭管的斷面積(cm2);
2.3——ln 和log 的變換因數;
L——滲徑,即試樣高度(cm);
t,t——分別為測讀水頭的起始和終止時間(s);
H,H——起始和終止水頭。
注意事項
(1) 變水頭試驗中,每次測得的水頭h1和h2的差值應大於10cm;
(2) 變水頭試驗過程中,若發現水流過快或出水口有混濁現象,應立即檢查有無漏水或試樣中是否出現集中滲流,若有,應重新制樣試驗;
(3) 滲透試驗一定要用無氣水作試驗,否則,試驗過程中水中的氣泡會在試樣內集中,使測得的滲透係數隨滲透時間的延長不斷減小,產生不允許的試驗誤差;
(4) 試驗過程中,由於滲透力的作用,使土的乾密度發生變化,從而使滲透係數發生變化,因此,滲透試驗的時間不能太長,水頭差不能太大;
(5) 規範規定採用水溫20°C或10°C時的滲透係數作為標準滲透係數。

