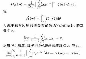
譜分布估計譜分布估計(spectral distribution estimation )平穩時間序列譜分布函式的估計.給定平穩過程xt(t = 0,士1, "")的T個觀察值x},x2,...,xr,計算其修正周期圖
以機率1成立.即H(w)的估計濘(w)具有相合性.值得注意的是,Ir,x}w)卻不是譜密度的相合估計.
譜分布估計(spectral distribution estimation )平穩時間序列譜分布函式的估計.給定平穩過程xt(t = 0,士1, "")的T個觀察值x},x2,...,xr。
譜分布估計譜分布估計(spectral distribution estimation )平穩時間序列譜分布函式的估計.給定平穩過程xt(t = 0,士1, "")的T個觀察值x},x2,...,xr,計算其修正周期圖
以機率1成立.即H(w)的估計濘(w)具有相合性.值得注意的是,Ir,x}w)卻不是譜密度的相合估計.
分布源是實際的信號總有一定的“幾何尺寸”,而不是三維空間中的一個點。 實際的信號總會由於多徑散射等因素在空間發生一定的角度擴展。例如,移動通信多徑環境中...
多波束測深聲吶相干分布源方位估計 利用電磁矢量感測器估計分布源三維到達角海浪譜(ocean wave spectrum) 描述海浪內部能量相對於頻率和方向分布的圖譜。又稱海洋能量譜。是研究海浪的重要概念。海浪譜不僅表明海浪內...
名稱 作用 研究方式 測量方法 計算方法輻射頻譜分布曲線上的兩上半最大強度點之間的頻率寬度,稱為譜線寬度或半值寬度,簡稱譜寬。譜寬所放射的譜量值是其最大值的規定的百分比的波長區。
簡介 決定因素 譜寬的測量 譜寬估計方法 速度譜寬《離散信號檢測與估計》是2010年01月電子工業出版社出版的圖書,作者是馬淑芬、王菊、朱夢宇、吳嗣亮。
圖書目錄譜熵(spectral entropy )這一概念描述了功率譜和熵率之間的關係。研究表明,由自回歸模型估計出的譜具有最大的譜熵,因而是一種理想的求譜方法...
基本概念 熵譜與極大熵譜估計《空間普估計理論與算法》是2004年清華大學出版社出版的圖書,作者是王永良。
內容簡介 目錄《複雜信號的頻率估計方法及套用》是2016年8月國防工業出版社出版的圖書,作者是塗亞慶、楊輝躍、張海濤、肖瑋、劉良兵。
內容簡介 圖書目錄譜密度是指當信號的頻頻寬度趨近於零時,每單位頻寬的均方根值。單位是 μPa 。應當注意,譜密度只適用於具有連續譜的信號,信號的種類必須指明,例如聲壓、質...
解釋 定義 屬性 相關概念 套用《信號檢測與估計:原理及套用》是2010年12月1日 電子工業出版社出版的圖書。本書可供雷達、聲吶、通信、衛星導航及相關領域的工程技術人員參考,也可作為...
內容簡介 目錄