證券投資收益率的類型
1、短期證券投資收益率
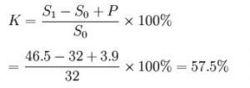
3例1,2002年2月9日,新華公司購買東海公司每股市價為32元的股票,2003年4月,新華公司持有的上述股票每股獲現金股利3.90元,2003年5月9日,順通公司將該股票以每股46.50元的價格出售。則投資收益率為:
4例2,某企業於2001年6月6日投資900元購進一張面值1000元,票面利息率6%,每年付息一次的債券,並於2002年6月6日以950元的市價出售。則投資收益率為:
52、長期證券投資收益率
(1)債券投資收益率的計算:
V = I(P / A,i,n) + F(P / F,i,n)
由於無法直接計算收益率,必須用逐步測試法及內插法來計算,即:先設定一個貼現率代入上式,如計算出的V正好等於債券買價,該貼現率即為收益率,如計算出的V與債券買價不等,則需繼續測試,再用內插法求出收益率。
例3 新華公司2000年6月 1日以1105元購買面值為1 000元的債券,其票面利率為 8%,每年6月 1日計算並支付一次利息,並於5年後的5月31日到期,按面值收回本金,試計算該債券的收益率。
假設要求的收益率為8%,則其現值可計算如下:
I=1000×8%=80元 S=1000元
i=8%時,
2
5其中:V—股票的購買價格;
Dj—股票的投資報酬;
F—股票的出售價格;
i—股票投資的收益率;
n—投資期限。
例5 華風公司在2000年6月1日投資510萬元購買某種股票100萬股,在2001年、2002年和2003年的5月31 日每股各分得現金股利0.5元、0.6元和0.8元,並於2003年5月 31日以每股6元的價格將股票全部出售,試計算該項投資的投資收益率。
5在表中,先按20%的收益率進行測算,得到現值為476.85萬元,比原來的投資額510萬元小,說明實際收益率低於20%;於是把收益率調到18%,進行第二次測算,得到的現值為499.32萬元,還比510萬元小,說明實際收益率比18%還要低;於是再把收益率調到16%進行第三次測算,得到的現值為523.38萬元,比510萬元大,說明實際收益率要比16%高,即我們要求的收益率在16%和18%之間,採用內插法計算如下:
4
