一元方程組
解一元一次不等式組的步驟:
(1)求出這個不等式組中各個不等式的解集。
(2)利用數軸求出這些不等式的解集的公共部分,即求出了這個不等式組的解集。
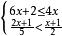
解不等式組例:解不等式組
解:由①得:6x-4x≤-2
2x≤-2
x≤-1
由②得:兩邊同時乘以10
x>-3
∴這個不等式組的解集是:-3<x≤-1
二元方程組
解一元二次不等式組的步驟:
在平面直角坐標系內畫出每個不等式的可行域,最後取這些可行域的公共部分。
解不等式組解不等式組(solving the system of inequa-lines)就是求出給定不等式組滿足所有不等式的解的集合。
解一元一次不等式組的步驟:
(1)求出這個不等式組中各個不等式的解集。
(2)利用數軸求出這些不等式的解集的公共部分,即求出了這個不等式組的解集。
解不等式組例:解不等式組
解:由①得:6x-4x≤-2
2x≤-2
x≤-1
由②得:兩邊同時乘以10
x>-3
∴這個不等式組的解集是:-3<x≤-1
解一元二次不等式組的步驟:
在平面直角坐標系內畫出每個不等式的可行域,最後取這些可行域的公共部分。
解不等式組一元一次不等式組的定義: 一元一次不等式組的解法 一元一次不等式組的解法,求公共解集的方法;
一元一次不等式組的定義: 一元一次不等式組的解法: 一元一次不等式組的解法,求公共解集的方法;
0 ,2xx是超越不等式。
基本概念 相關性質 同解原理 注意事項 解不等式組如果兩個不等式的解集相同,那么這兩個不等式叫做同解不等式。 不等式的解題思路,從本質上來看,體現的是等價轉化的思路,可以使用解方程式的思路,將同解不等式...
不等式 解集 定義 同解不等式的基本性質 例題用“大於號”、“小於號”、“不等號”、“大於等於”或“小於等於”連線並具有大小關係的式子,叫做不等式。幾個不等式聯立起來,叫做不等式組。(注意:當有A
解題示例 解不等式組步驟一元一次不等式組是由幾個含有同一個未知數的一元一次不等式組成的不等式組(System of Linear Inequalities in One Var...
定義 解集 步驟 知識點多元不等式組是一類重要的不等式組。含有兩個以上未知數的不等式(組)稱為多元不等式(組)。多元不等式組的解集是一個區域。
簡介 解 套用”、小於號“
定義 基本性質 常用定理 定理口訣 注意事項不等式分為嚴格不等式與非嚴格不等式。一般地,用純粹的大於號、小於號“>”“<”連線的不等式稱為嚴格不等式,用不小於號(大於或等於號)、不大於號(小於或等...
定義 基本性質 常用定理 定理口訣 注意事項