基本介紹
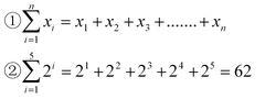
西格瑪[數學符號]“西格瑪”是希臘字母,也有念作“西瑪”“希瑪”等各種讀法,符號是∑,英文譯音是Sigma, 表示數學中的求和號,是數學中常用的符號,主要用於求多項數的和,用∑表示。
∑下面的小字,如i=1表示從i=1開始求和
上面的小字,如n表示求和到n為止
比如下面寫i=1,上面寫n,後面寫x(i是下角標)
表示從x+x+…+x
西格瑪[數學符號]例如1+2+3+4+......+100=5050可以寫成
比如下面寫i=5,上面寫n,後面寫x
表示從x+x+…+x
Sigma(大寫Σ,小寫σ),是第十八個希臘字母。 在希臘語中,如果一個單字的最末一個字母是小寫sigma,要把該字母寫成Sigma的小寫另一種。在現代的希臘數字代表6。
大寫Σ用於:
數學上的總和符號
小寫σ用於:
化學上的一種共價鍵,σ鍵。
力學上的應力
統計學上的標準差
西里爾字母的С及拉丁字母的S都是由Sigma演變而成。
西格瑪在電視遊戲《洛克人X》的地位。
名為《洛克人X》的電視單人動作遊戲,講述西元22世紀的某天,一個被封印了30年名為《洛克人X》機器人被挖掘出來,後來以這個機器人為藍本開發出《思考性機器人》。可惜,科技的不完善,導致出現《異常機器人暴走事件》,於是負責清理這些(異常機器人)的高精密的思考性機器人部隊《異常獵人》就出現。後來17部精銳部隊的隊長《西格瑪》經過一系列戰鬥後解決引發事件的源頭《ZERO》。ZERO引發的事件被解決後,因為凱恩的科學需要,,把ZERO修復了。並且把他原本的邪惡的記憶消除掉,在隊長《西格瑪》的帶領下和《洛克人X》組成搭檔!但是,這才是剛開始,之後,曾經和《ZERO》戰鬥的《西格瑪》因為偷看《ZERO》的記憶導致暴走,之後離開了《異常獵人》這個組織。離開後的他便是後來策劃無數次大型異常化暴動的主腦。
夢幻模擬戰V(LangrisserV)的男主角。人造人,聲優為綠川光。
質量檢驗
"σ"是希臘文的字母,是用來衡量一個總數裡標準誤差的統計單位。一般企業的瑕疵率大約是3到4個西格瑪,以4西格瑪而言,相當於每一百萬個機會裡,有6210次誤差。如果企業不斷追求品質改進,達到6西格瑪的程度,績效就幾近於完美地達成顧客要求,在一百萬個機會裡,只找得出3.4個瑕疪。
6西格瑪(6Sigma)是在九十年代中期開始從一種全面質量管理方法演變成為一個高度有效的企業流程設計、改善和最佳化技術,並提供了一系列同等地適用於設計、生產和服務的新產品開發工具。繼而與全球化、產品服務、電子商務等戰略齊頭並進,成為全世界上追求管理卓越性的企業最為重要的戰略舉措。6西格瑪逐步發展成為以顧客為主體來確定企業戰略目標和產品開發設計的標尺,追求持續進步的一種質量管理哲學。
主要原則
在推動6西格瑪時,企業要真正能夠獲得巨大成效,必須把6西格瑪當成一種管理哲學。這個哲學裡,有六個重要主旨,每項主旨背後都有很多工具和方法來支持:
1.真誠關心顧客。
6西格瑪把顧客放在第一位。例如在衡量部門或員工績效時,必須站在顧客的角度思考。先了解顧客的需求是什麼,再針對這些需求來設定企業目標,衡量績效。
2. 根據資料和事實管理。
近年來,雖然知識管理漸漸受到重視,但是大多數企業仍然根據意見和假設來作決策。6西格瑪的首要規則便是釐清,要評定績效,究竟應該要做哪些衡量(measurement),然後再運用資料和分析,了解公司表現距離目標有多少差距。
3. 以流程為重。
無論是設計產品,或提升顧客滿意,6西格瑪都把流程當作是通往成功的交通工具,是一種提供顧客價值與競爭優勢的方法。
4.主動管理。
企業必須時常主動去做那些一般公司常忽略的事情,例如設定遠大的目標,並不斷檢討;設定明確的優先事項;強調防範而不是救火;常質疑「為什麼要這么做」,而不是常說「我們都是這么做的。」
5. 協力合作無界限。
改進公司內部各部門之間、公司和供貨商之間、公司和顧客間的合作關係,可以為企業帶來巨大的商機。6西格瑪強調無界限的合作,讓員工了解自己應該如何配合組織大方向,並衡量企業的流程中,各部門活動之間,有什麼關聯性。
6.追求完美,但同時容忍失敗。
在6西格瑪企業中,員工不斷追求一個能夠提供較好服務,又降低成本的方法。企業持續追求更完美,但也能接受或處理偶發的挫敗,從錯誤中學習。
質量
一個公司的產品質量是這家公司整個營運的結果,影響的因素很多,錯綜複雜。Motorola公司用6西格瑪質量標出其目標,使複雜的問題變的容易了解。在Motorola,6西格瑪質量水準的意義如下:
1. 3.4PPM(不良率或缺點數為百萬分之三點四)
2. 99.99966%產品為無缺點。
3. 提供一個與競爭者比較的基準,為TQM提供一個衡量的基準。
4. 可以了解距離無缺點有多遠。
為何 6 西格瑪質量吸引我們
6西格瑪質量已經吸引很多公司,其理由如下:
1. 6西格瑪質量提供了一個比較複雜的產品或服務的基準。
2. 利用6西格瑪質量可以測度自己公司和競爭者之間的品質差距。
3. 顯示邁向無缺點的進展。
4. 為各部門提供一個明確的目標。
管理
是獲得和保持企業在經營上的成功並將其經營業績最大化的綜合管理體系和發展戰略。是使企業獲得快速增長的經營方式。
經營業績的改善包括:
· 市場占有率的增加
· 顧客回頭率的提高
· 成本降低
· 周期降低
· 缺陷率降低
· 產品/服務開發加快
· 企業文化改變
是自上而下地由企業最高管理者領導並驅動的過程革新方法。由最高管理層提出改進/革新的目標(這個目標與企業發展戰略與遠景密切相關)、資源和時間框架。
· 這種革新方法由定義、度量、分析、改進、控制(DMAIC)的結構化的改進過程為核心。
DMAIC用於三種基本改進流程:
6西格瑪產品/服務實現過程改進
6西格瑪業務流程改進
6西格瑪設計SSDP
· 在實施上由"勇士Champion"、"大黑帶MBB"、"黑帶BB""綠帶GB"四級經過培訓職責明確的人員作為組織保障。
這種革新方法強調定量方法/工具的運用,強調對顧客需求/滿意的詳盡定義於量化表述,每一階段都有明確的目標並由相應的工具或方法輔助。
推動發展
在企業追求6西格瑪的過程中,有很多方法和工具。其中一個重要的方法,是一個五個階段的改進步驟DMAIC(發音為Deh-maik):界定(define)、衡量(measure)、分析(analyze)、改善(improve)與控制(control)。透過這些步驟,企業的投資報酬率自然會增加。
界定
界定核心流程和關鍵顧客,站在顧客的立場,找出對他們來說最重要的事項,也就是「品質關鍵要素」(Critical to Quality,CTQ)。釐清團隊章程,以及核心事業流程。
衡量
找出關鍵評量,就是要為流程中的瑕疪,建立衡量基本步驟。人員必須接
受基礎機率與統計學的訓練,及統計分析軟體與測量分析等課程。為了不造成員工沉重負擔,不妨讓具備六個標準差實際推行經驗的人,帶著新手一同接受訓練,幫助新手克服困難。對於複雜的演算問題,可提供自動計算工具,減少複雜計算所需的時間。
分析
探究誤差發生的根本原因。運用統計分析,檢測影響結果的潛在變數,找出瑕疪發生的最重要根源。所運用的工具包含許多統計分析工具。
改善
找出最佳解決方案,然後擬定行動計畫,確實執行。這個步驟需不斷測試,看看改善方案是否真能發揮效用,減少錯誤。
控制
確保所做的改善能夠持續下去。衡量不能中斷,才能避免錯誤再度發生。在過去許多流程改善方案里,往往忽略了控制的觀念;而在六個標準差中,控制是它能長期改善品質與成本的關鍵。
如果成功推動,6西格瑪所帶來的,將是改變企業慣性,讓員工能夠不斷問問題,並尋求更好的解決方案,讓企業常處於向上爬升的斜率上。
![西格瑪[數學符號] 西格瑪[數學符號]](/img/0/d26/nBnauM3XyQjM3YDNyQDN0IDN0UTMyITNykTO0EDMwAjMwUzL0QzL4czLt92YucmbvRWdo5Cd0FmLzE2LvoDc0RHa.jpg)
