製程能力定義
製程能力是指設備生產工藝標準在正常執行情況下的一定工序時間內,控制製程產品質量滿足標準要求(規格範圍等)程度的穩定性和一致性狀態的實際加工能力。製程能力是指製程產品的固有變異,而不是設計規定標準所允許的變異 。
製程能力的評價指標
製程能力
製程能力製程能力指標是一種通過統計數據偏離目標值多少來量化評估製程好壞程度的評價指標。該指標用於反映充分標準化的工藝方法、機器、人員、原材料、測量和環境處於穩定生產過程中的正常狀態時,所表現出的保證產品質量的能力。製程能力指標也稱製程能力指數、過程能力指標、工序能力指數或工藝能力指數。經由製程能力指標,我們可以發現製程能力太小或是製程能力太大。主要有和四種。在有偏離目標的情形下,按各自製程能力做靈敏度比較,四種指標反映事實的能力依序為:
製程能力Cp(能力指數)
製程能力為清楚地描述一台機器或一道工序的製程能力水平,比較常用的衡量指標是Cp,但Cp值僅測量產品製程規格上限USL與規格下限LSL之間的允許範圍和實際變動的值的比值關係,沒有考慮製程偏離目標值T的狀況。如圖1中的情形,雖然圖中製程1到製程5的Cp均相等,但是只有製程1是正常的,其餘均偏離目標值,僅看Cp值就無法反映出來。
製程能力能力指數Cp=規格公差幅度/製程能力
圖1 五個不同偏移程度的製程對比Cpk
為了避免目標值不在規格允許範圍之內造成誤導,比較客觀地反映出製程平均值與規格值偏差的程度而提出Cpk,這個指標比起之前的Cp更能明確表示出製程的優劣。
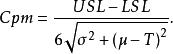
製程能力Cpm
製程能力
製程能力Cpm不僅考慮製程變異部分,也考慮平均數和目標值的差距,故Cpm在分析製程偏離目標值部分優於Cp指標。
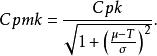
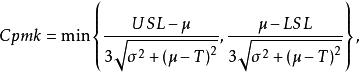
製程能力Cpmk
Cpmk把製程平均數及製程規格界限也考慮在內加以定義 。
製程能力
製程能力製程能力分析
基本介紹
製程能力分析是對製程變異性相對於產品規格範圍之間關係的分析,為製程工藝標準的改善提供依據,以促進制程變異的穩定性,使所有的製程變異都能在標準變異範圍(也就是規格範圍) 之內,提高產品的一次通過率。製程能力分析的方法主要通過統計技術對整個製程的前後關係因素予以量化,分析這些量化的變因與產出的關係,找出影響產出的重大變因,據此來針對變因加以改善或消除。
製程能力分析的目的和意義
製程能力分析的目的主要在於持續改善,提升控制製程長期的品質穩定性和一致性狀態的能力水平。
(1)降低生產製造過程的異常停機停線損失;
(2) 給研發設計或選擇製程工藝提供參考;
(3) 給制定製程品質管制抽樣標準提供參考;
(4) 預測新設備、新工藝導致產品質量水平的變異程度;
(5) 預測製程和產品規格的容許範圍;
(6) 為新設備的引進選擇提供科學評估依據;
(7) 為選擇OEM廠商提供科學評估依據;
(8) 為同時受多製程影響的產品安排生產順序等 。
如何做製程能力分析
製程能力1. 製程能力分析在習慣上都以產品品質特性的 來衡量
製程能力
製程能力
製程能力
製程能力如圖2常態分配下的允差界限所示,一個品質特性是常態分配的製程,為平均值,為標準差,自然允差的上下界限分別落在之間,所以此圖的意義可以和的觀念相結合。也就是落在此界限之內的面積占總分布的99.73%,即合格率為99.73 %。
圖2 常態分配下的允差界限2. Cp值和標準差等級的對應關係
| Cp | USL-LSL | 標準差等級 |
| 0.67 | 4σ | ±2σ |
| 1 | 6σ | ±3σ |
| 1.33 | 8σ | ±4σ |
| 1.67 | 10σ | ±5σ |
| 2 | 12σ | ±6σ |
3. Cp值評價標準
| Cp值範圍 | 級別 | 製程能力評價 |
| Cp>2.0 | 特優 | 製程能力過強,可以考慮降低製造成本,或者提高產品質量檔次 |
| 1.67≤Cp<2.0 | Ⅰ | 製程能力強,運行性能很穩定,產品一次通過率很高,可以免檢 |
| 1.33≤Cp<1.67 | Ⅱ | 製程能力充分,運行性能較穩定,產品一次通過率較高,正常檢驗即可 |
| 1≤Cp<1.33 | Ⅲ | 製程能力尚可,運行穩定性一般,產品一次通過率一般,須加嚴檢驗 |
| 0.67≤Cp<1 | Ⅳ | 製程能力較差,運行穩定性差,產品一次通過率差,須及時整改,產品100%全檢 |
| Cp<0.67 | Ⅴ | 製程能力很差,運行穩定性很差,產品一次通過率很差,必要時 停機整改或考慮重新整改設計製程 |
4. 製程能力與規格範圍偏差問題分析
製程能力(1)。
如圖3所示,a、b、c 三種製程都不會產生不合格品。
a為正常製程;
b為平均值偏移;
c為變異數增大。
圖3
製程能力(2)。
如圖4所示,三種製程從a到c,不合格率逐步增加。
圖4
製程能力(3)。
如圖5所示,三種製程從a到c均產生大量不合格品,c製程為最差狀況 。
圖5調節製程能力的方法
一般而言,製程能力指標越高越好,但製程能力指標提高也意味著成本的提高,所以在滿足客戶需求的一定生產規格的要求下,應考慮技術及成本的關係,來決定最合理製程能力指標。當然,在實際生產過程中的製程工序可能是不穩定的,過程能力可能不是常態分配的,也有可能數據的中心值與均值不是很吻合,這都會導致測算出的Cp值偏離實際真實水平。製程能力指標更多的是給相關改善決策提供參考依據。
製程能力水平低下問題的改善主要可以利用管理標準化、設備TPM(全面生產管理)、自動化、工藝流程再造以及作業防呆等手段,通過改變工序的質量目標值或降低工序中所固有的變異兩條途徑來實現。
1. 當製程能力指標過大時的提案改善方向
(1) 縮小規格的公差範圍,提升產品品質檔次;
(2) 提高設備運行速度,提高核定產能標準;
(3) 導人自動化或提高自動化水平;
(4) 放寬變異範圍(即增大σ值),如適當減少工藝稽核力度,適當降低員工素質要求等;
(5) 改用成本較低的設備;
(6) 延長關鍵備件的使用壽命,降低維修費用;
(7) 簡化品質檢驗程式,如全數檢驗改為抽樣檢驗等。
2. 當製程能力指標過小時的提案改善方向
(1) 在不影響產品性能的要求下,與客戶溝通適當放寬規格公差範圍;
(2) 檢討工藝管制環節,補缺補漏;
(3) 改善生產工藝穩定性或重新設計;
(4) 改善模具精度或重新開發;
(5) 改善夾治具精度或重新設計;
(6) 降低設備運行速度,降低核定產能標準;
(7) 使用精密度更高的設備;
(8) 加嚴檢驗,甚至100%全檢;
(9) 謹慎評估自動化導入的進度等 。

