主要內容
對儲集層中的裂縫進行描述,是油藏描述中的重要內容。從油田開發的角度要求,裂縫描述主要包括以下內容:
①裂縫產狀:傾角、走向、與儲集層產狀關係;
②裂縫規模:縱向穿切深度、橫向延伸長度、分布密度;
③裂縫開啟程度,充填程度及有效開啟程度;
④裂縫力學性質;
⑤裂縫組系及在油藏內發育分布規律;
⑥裂縫的儲油能力和滲流能力。
岩心裂縫描述
井下地質工作中的裂縫描述主要是從岩心觀察描述入手的。因此,對岩心裂縫的觀察描述要求特別細緻嚴密。一般應當從以下兒個方面進行系統的觀察、測量和描述,並繪製相應的圖幅。
裂縫描述(1)裂縫形態描述
裂縫形態描述包括裂縫長度、寬度、開度、密度或間距。
①岩心裂縫長度:應記錄裂縫兩端是否全部包含在岩心內,或一端包含在岩心內,或兩端全部切穿岩心。若裂縫在岩心內截斷時,應描述截斷的岩性或構造。
②裂縫寬度:指垂直裂縫面方向上兩壁的相對位移距離,不考慮充填物存在與否,儘可能描述沿不同方向的寬度變化,錄取平均寬度。
③開度:指充填物充填後剩餘的可作儲集空間的裂縫寬度(右圖)。
④岩心裂縫密度:一般以每米岩心長度上有多少條裂縫來表示;也可以用單位岩心表面積上裂縫的截面積來表示。除描述岩心裂縫總密度外,還應分組系分別描述裂縫密度。對於裂縫密度,一般應逐塊岩心、逐條裂縫進行描述,有條件的情況下還應儘量利用全直徑岩心進行描述。先描述岩心表面的裂縫,然後再劈開岩心觀察其劈開面的裂縫分布情況。
(2)裂縫產狀描述:裂縫產狀確定的首要問題是確定岩心的方向,一般在定向取心井中可以直接確定裂縫產狀,而非定向取心井可通過下列途徑確定裂縫的產狀。
①通過岩心古地磁定向;
②將岩心中裂縫產狀與地層產狀建立關係,在岩心中測量裂縫傾向與地層傾向之間的夾角,並在構造圖上或傾角測井圖上求得本井所處位置的地層傾向,這樣就可以推算出裂縫的傾向及走向;
③利用岩心中指不古流向的沉積現象(沉積岩)或區域變質形成的線理、片理與裂縫傾向的關係,在傾角測井中求取上述現象的方向,用於推算裂縫的傾向及走向。
(3)裂縫的力學性質描述
對於裂縫的力學性質描述,在岩心上主要是區別張性裂縫和剪下裂縫。一般來說,張性裂縫斷面粗糙並且多不規則,充填情況也比較嚴重;而剪下裂縫分布的方向性較強,縫面平直規則。
(4)裂縫充填物描述
裂縫有充填物時應描述:
①充填物種類:礦物、泥質、古土壤等碎屑物,瀝青質等等;
②礦物充填應描述礦物定名、晶形,結晶體方向與縫面關係;是否有多期礦物充填,在充填晶體中,包裹體鑑定可以確定裂縫張開時古溫度和壓力,它是判斷裂縫形成地質時代的重要證據。
(5)裂縫組系描述
①根據裂縫產狀、力學性質及相互交切關係劃分裂縫組系,凡產狀一致、相互平行、力學性質一致的裂縫屬同一組裂縫,呈共扼的剪下縫及共生張性縫為同一裂縫系統。
②根據裂縫交切情況判別形成時間的早晚,被截斷產生位移的組係為早期縫。
③注意後期縫沿早期縫再次裂開或擴張延展的識別。
④根據裂縫充填礦物的世代判斷裂縫組系的形成早晚。
(6)微裂縫描述
①發此狀微裂縫。一般肉眼己不能清晰地描述,可通過在岩心表面上塗揮發液(如汽油、四氯化碳等)顯示,採取揭片或照相後進行詳細描述。
②顯微微裂縫。取岩心磨片觀察(垂直層面切片),描述微裂縫形態、與岩石組構關係、充填情況、發育程度(可統計面積密度)及組系等。
其它地下裂縫信息
①測井信息:
a.多臂井徑測井。根據井壁垮塌及橢圓井眼可作為裂縫發育段及走向的信息參考;
b.傾角測井,四臂電導率檢測不同的異常情況可作為裂縫識別信息並計算走向;
c.微電阻率掃描等成像測井,可直接取得井壁裂縫影像,計算傾角,走向等參數;
d.井下電視,可直接取得井壁裂縫影像,計算傾角,走向等參數。
②定向取心,除前述岩心裂縫描述內容外,還可直接取得裂縫產狀數據。
③試井可判別有無裂縫,干擾試井還可取得裂縫延伸方向信息。
④不蹤劑測試可定性判斷裂縫發育程度及走向,目前正在發展定量解釋技術。
⑤注采連通干擾情況,可判斷大型裂縫發育情況。
露頭裂縫調查
若油藏構造(包括淺層非目的層)有露頭時,或具類似地層發育史的鄰近構造有出露時,可以通過露頭裂縫調查,充實裂縫的地下地質描述內容和綜合研究依據。露頭選擇要考慮類似儲集層岩石的岩層為主要目的層,一般應多選擇兒種岩石類型以資對比,包括類似隔層的岩層也應做適當的調查。
裂縫物性估計
(1)裂縫的孔隙度
裂縫孔隙度可通過多種方法估計,例如用裂縫密度和寬度資料計算,也可用三維岩心試驗等方法測出。Howard等人(1990)套用以下公式計算裂縫的面積孔隙度:
裂縫描述式中:
裂縫描述——面積孔隙度;
A——取樣面積;
L——裂縫的長度;
W——裂縫的寬度。
由於面積孔隙度在一個地區不可能是一個定值,而是因位置而異。Howard等人根據觀察到的長度和寬度的分布,套用蒙特卡羅法計算面積孔隙度的分布。
裂縫孔隙度一般較小,多數情況下小於1.000,因此,當基岩的孔隙度較高時,評價裂縫孔隙度的精確性意義不大,只有當基岩的孔隙度很低時,裂縫孔隙度才很重要。
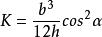
(2)裂縫的滲透率
在裂縫性儲集層中,由於存在基質孔隙與裂縫空隙兩類儲集空間,就存在兩種滲透率。裂縫性儲集層的滲透率是這兩種滲透率之和。但通常裂縫滲透率比基質滲透率高出兒個數量級(幾百倍甚至幾千倍以上)。如一條裂縫可以近似地看成為一個薄板。
裂縫滲透率的計算方法為:
裂縫描述式中:
b——裂縫的寬度;
α——裂縫與流動方向的夾角。
從上式可以看出,裂縫的滲透率與裂縫寬度的三次方呈正比,可見裂縫寬度對流體流動的影響很大。
裂縫與局部構造的關係
裂縫的形成與應力作用密切相關,而局部構造是應力作用的結果,因此,構造裂縫與局部構造往往具有成因上的聯繫,其分布常有如下規律。
1.各裂縫系統具有一定的方向性
構造形成以後,由於地層產狀的變化引起裂縫系統的變化,這種變化表現最明顯的地方是在褶皺區的局部構造上。裂縫方向的變化不僅與地層的傾角有關,而且與其走向有關。凡是地層發生彎曲處都會相應地產生裂縫系統的變化。經過地層方位的校正就可以確定裂縫與構造應力的關係。
2.裂縫密度與構造形態有關
裂縫描述構造各部位的裂縫發育程度(即密度)取決於應力強度、岩性本身的易裂性、地層厚度等因素。裂縫形成的多次性是由應力強度的重新分配決定的。構造形成前應力分布於整個構造所在的面積內,構造形成後應力場重新分布,產生一連串的各種不同的裂縫系統。上述一系列的因素可能導致裂縫密度在構造各部位的分布十分複雜,關於裂縫密度的分布規律還有待進一步認識。一般認為,在局部構造上,窄而陡的構造頂部裂縫發育、不對稱構造的陡翼及隆起構造的端部裂縫發育、被次級褶皺複雜化的平緩翼裂縫也很發育(右圖)。四川地區以鑽探裂縫發育帶油氣為目標的布井經驗是:占高點、沿長軸、沿斷層、沿扭曲(慣稱“一占三沿”)。這是四川地區幾十年勘探裂縫性油氣儲集層的經驗總結。
3.局部構造上裂縫發育具有繼承性
所謂裂縫發育的繼承性是指新老地層的裂縫發育帶在構造部位上具有一致性。例如四川石油溝氣田地面侏羅系地層裂縫發育區和裂縫組系都是沿長軸分布,地下三R系氣層的主要裂縫系統和井間干擾也是沿長軸分布的。
根據裂縫分布的繼承性規律,有可能利用外推法將上層裂縫資料(或地面裂縫資料)轉用於深部地層。
4.裂縫常與斷裂破碎帶相伴生
無論是理論研究還是從實際觀測結果都表明,裂縫和斷層的形成機理是一致的。斷層的形成可分為幾個階段:第一個階段是大量的微裂縫形成;第二個階段是由於微裂縫的形成而使岩石的堅固性下降,導致應力集中,許多微裂縫合併而成為大裂縫;第三個階段形成大斷裂。這些大斷裂切割了整個沉積層,且常深入到結晶基底岩層中。
大斷裂形成的模擬試驗表明,在它形成之前,大量的微裂縫只在局部地區發育,後來這個地區就可能發展為大斷裂分布區。大斷裂形成後常伴有新的羽狀裂縫,因此,靠近斷層附近發育著大量裂縫,但離斷層不遠則很快消失。

