單位衝激偶信號
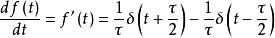
單位衝激信號δ(t)的時間導數即為單位衝激偶信號,記作δ′(t)。其定義式為
衝激偶信號衝激偶信號也有強度,其波形如下圖(c)所示。
衝激偶信號
衝激偶信號
衝激偶信號
衝激偶信號
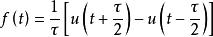
衝激偶信號t>0 δ′(t)可理解為門寬為 、門高為 的門信號的一階導數在 →0時的極限。設門寬為 、門高為 的門信號為
衝激偶信號其波形如下圖(a)所示。故有
衝激偶信號
衝激偶信號
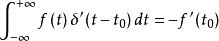
衝激偶信號f'(t)的波形如下圖(b)所示。可見f'(t)是位於 時刻的強度均為的正、負兩個衝激信號。又因為
衝激偶信號故
衝激偶信號
衝激偶信號δ′(t)的波形如下圖(c)所示。可見δ′(t)是在t=0時刻出現的、方向相反的、強度均為 的一對正、負衝激信號。
衝激偶信號衝激偶信號的性質
1、篩選特性
衝激偶信號2、抽樣特性
衝激偶信號式中,f'(t)為f(t)在t點的導數值。
3、尺度特性
衝激偶信號4、奇偶特性
衝激偶信號5、衝激偶信號與衝激信號的關係
衝激偶信號
衝激偶信號說明
衝激函式的各階導數統稱為高階衝激。特別指出,在同一時刻出現的單位衝激函式、高階衝激函式間的乘積沒有意義。

