衝擊壓縮曲線的基本測量方法
正文
衝擊壓縮曲線又稱許貢紐曲線。從質量守恆、動量守恆和能量守恆導出的三個衝擊波關係式中包括比容v、壓強p、比內能E、粒子速度U和衝擊波速度D等五個變數,只要測出其中任意兩個量,就能對該方程組求解。原則上講,除比內能外,其他各量都是可以測量的。在高壓衝擊壓縮線測量中,通常選定D、U作為測量參量,這是因為測量速度量的技術比較簡便,精度較高。對於一般固體介質,當衝擊壓力為數百萬巴(具體數值隨材料而異)以下時,衝擊波速度D與粒子速度U存線上性關係
D-U0=с0+λ(U-U0), (1)
相應的衝擊壓縮線方程為
。 (2)
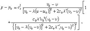
D-U0=с0+λ(U-U0)-λ┡(U-U0)2, (3)
(4)
D值是可以直接測量的,U值則要通過測量飛片速度(見衝擊波產生技術)或樣品的自由面速度,再通過換算求得。由同種材料製成的飛片和靶相撞時,若飛片溫升可以忽略不計,飛片速度嚴格等於二倍粒子速度。此外,對大多數中等衝擊阻抗的樣品材料,當衝擊壓力在100萬巴以下時,自由面速度近似等於二倍粒子速度。
速度量的精確測量有以下兩種主要方法。
閃光隙法 測量原理見圖1。它是利用不同測量位置上氣隙內的閃光來顯示衝擊波、飛片或自由面的到達時間。圖1b中的t1代表衝擊波通過對應樣品的時間,可用於計算衝擊波速度D;t2代表衝擊波通過對應樣品的時間及樣品自由面飛越對應空隙的時間之和,可用於計算樣品的自由面速度。信號光源取自有機玻璃塊和樣品(或蓋片)之間的空氣或氬氣受衝擊壓縮後所產生的輻射光。波形信號由光機式或光電式高速掃描相機進行記錄。
衝擊壓縮曲線的基本測量方法
衝擊壓縮曲線的基本測量方法
