【英文名稱】cranberry P.E.
【拉丁名稱】Vaccinium Macrocarpon L.
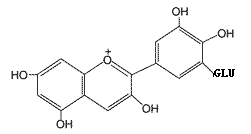
【分子式】C20H11O12
【分子量】444.12
【分子結構式】

【質量標準】1、主要成分:蔓越橘皂甙
2、原理: 化學合成
3、色澤:紅色或紫紅色精細粉末
4、目數: 100%過80目
5、氣味:特殊氣味
6、乾燥失重:≤5%
7、灰份: <5%
8、重金屬: <5PPM
9、溶劑殘留:<0.05PP
【用途】
清除自由基;加強毛細血管強度,防止心血管疾病;緩解經期前綜合症、靜脈曲張、腿部水腫和視網膜病變;增加免疫力;加速眼睛周圍血液循環,提高視力;消炎、抗過敏;延緩衰老。
