理論概述
極限應力圓的包絡線莫爾一庫侖強度理論(Mohr Coulomb theory)由德國工程師莫爾(Christian Otto Mohr,1835—1918)於1900年提出 。該理論認為,材料發生剪斷破壞的原因主要是某一截面上的切應力達到強度極限值,但也與該面上的正應力有關。如截面上存在壓應力,則與壓應力大小有關的材料內摩擦力將阻止截面的滑動;如果截面上存在拉應力,則截面將容易滑動,因此剪斷不一定發生在最大剪應力的截面上。在三向應力狀態下,如果不考慮中間應力σ,對材料破壞的影響,則一點處的最大切應力或較大切應力可由最大和最小主應力σ和σ所畫的應力圓決定。材料在破壞時的應力圓稱“極限應力圓”,根據σ和σ 的不同比值(如單軸拉伸、單軸壓縮、純剪,各種不同大小應力比的三軸壓縮試驗等),可作出一系列極限應力圓,這些應力圓的公共包絡線(右圖所示)便是材料破壞的臨界線。
法國物理學家庫侖(Charles Augustinde Coulomb,1736—1806)於1773年提出,假定強度極限值是同一平面上法向應力的線性函式,則包絡線可簡化為直線,常稱“莫爾—庫侖理論”或“庫侖強度理論”。莫爾強度理論能較全面地反映岩石和土的強度特性(如岩石和土的抗拉強度遠小於抗壓強度)。該理論適用於脆性材料,也適用於塑性材料 。
理論方程
莫爾庫倫強度破壞條件為了簡化計算,將莫爾應力圓包絡線簡化為直線(右圖b),即岩石材料的破壞條件與土力學中所採用的相同,也可用庫侖方程式表示,即:
莫爾-庫侖理論式中:c—為岩石凝聚力;ψ—岩石內摩擦角。
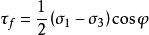
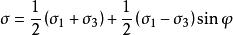
由右圖b可得:
莫爾-庫侖理論
莫爾-庫侖理論由上述公式可得:
莫爾-庫侖理論這一方程式常稱為莫爾—庫侖破壞強度方程式或莫爾—庫侖破壞強度條件。

