范德華常數是對理想氣體方程做了兩個方面的修正之後得出的范德華方程中常數a、b兩項。
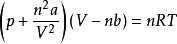
范德華方程(vander Waals)表達式:
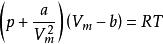
或者寫為:
其中a和b為范德華常數,它們分別與氣體的種類、分子之間的大小以及氣體分子本身的大小體積有關。