簡單形式
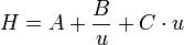
范德姆特方程最常用的形式如下式所示,該式直觀地反映了流動相流速對於分離的影響。
范德姆特方程式中A, B, C為常數, u表示流動相的流速。
A項反映的是被分析物在填充柱中可能採取不同的路徑,因而經過的路程也不一樣長,引起色譜峰的展寬,這就是“多路徑效應”。在毛細管開管柱中不存在多路徑效應,這一項為零。
B/ u 表示的是因為色譜柱各部分存在濃差而引起的縱向擴散帶來的峰展寬。
C u表示達到固定相與流動相的平衡之後由於在固定相與流動相傳質存在著阻力引起的峰展寬。
范德姆特方程微分後可得到最佳流速為
完整形式
范德姆特方程的完整形式如下:
范德姆特方程式中:
H 為理論塔板高度
λ 是一個與柱內填料粒度均一性與填充狀態有關的常數
dp 為填料的粒徑
G, ω 和 R 為常數
Dm 是被分析物在流動相中的分子擴散係數
dc 是毛細管的直徑
df 是固定相的膜厚度
Ds 是被分析物在固定相中的分子擴散係數

