簡介
艾普塞朗數並不能透過較小序數有限次數的加法及乘法運算而獲得。康托爾原來引進的 艾普塞朗數,乃以以下的方式定義:
ε乃是一個滿足以下式的序數,當中ω乃是最小的無限序數。
艾普塞朗數滿足上式的所有ε當中,最小的記為 ε。它可以透過以下的超限遞歸法獲得:-
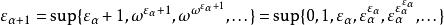
艾普塞朗數其後如此類推,
艾普塞朗數更大的 艾普塞朗數為
艾普塞朗數
艾普塞朗數值得留意的是,ε的基數,仍然為可數的。實際上,所有指標為可數的ε,其基數也是可數的。不可數的ε(意指滿足定義式 的ε)存在,但其指標也是不可數的。
超限序數
超限數是大於所有有限數(但不必為絕對無限)的基數或序數,分別叫做超窮基數(英語:transfinite cardinal number)和超窮序數(英語:transfinite ordinal number)。術語“超限”(transfinite)是康托爾提出的,他希望避免詞語無限(infinite)和那些只不過不是有限(finite)的那些對象有關的某些暗含。當時其他的作者少有這些疑惑;現在被接受的用法是稱超限基數或序數為無限的。但是術語“超限”仍在使用。
超窮序數可以確定超窮基數,並導出阿列夫數序列。
對於有限數,有兩種方式考慮超限數,作為基數和作為序數。不像有限基數和序數,超限基數和超限序數定義了不同類別的數。
1.最小超限序數是ω。
艾普塞朗數
艾普塞朗數2.第一個超限基數是aleph-0,整數的無限集合的勢。如果選擇公理成立,下一個更高的基數是aleph-1。如果不成立,則有很多不可比較於aleph-1並大於aleph-0的其他基數。但是在任何情況下,沒有基數大於aleph-0並小於aleph-1。
連續統假設聲稱在aleph-0和連續統(實數的集合)的勢之間沒有中間基數:就是說,aleph-1是實數集合的勢。已經在數學上證實了連續統假設不能被證明為真或假,由於不完備性的影響。
某些作者,比如Suppes、Rubin使用術語超限基數來稱呼戴德金無限集合的勢,在可以不等於無限基數的上下文中;就是說在不假定可數選擇公理成立的上下文中。給定這個定義,下列是等價的:
艾普塞朗數
艾普塞朗數是超限基數。就是說有一個戴德金無限集合A使得A的勢是。
艾普塞朗數。
艾普塞朗數。
艾普塞朗數
艾普塞朗數有一個基數使得。
