簡介
扭轉強度是指整個船體抵抗扭轉變形和破壞的能力。當船舶斜置在波浪上時,或船的首尾部的裝載對於船中心線左右不對稱時,以及其他原因產生的首尾、左右不對稱的作用力,都會產生作用在船體上的扭轉力矩,使船體發生扭曲變形。但是,一般船舶由於艙口較小,均有足夠的抗扭轉強度,都不進行扭轉強度計算。對於貨櫃船等,因甲板上貨艙口較大,需要考慮船體結構的扭轉強度問題。
船體扭轉強度檢驗
船體扭轉強度
船體扭轉強度
船體扭轉強度據中國船級社“鋼質海船入級和建造規範” ,凡符合下述兩個條件的任何甲板開口為大開口: (1) b/B> 0.6 (b為開口寬度;B為開口寬度中點處包括開口在內的甲板最大寬度);(2) ( 為艙口長度; 為艙口兩端橫向甲板條中心線之間的距離)。凡屬於上述規定的船舶,船體縱向強度校核時須包括縱向彎曲強度和扭轉強度兩個方面。以下介紹航運生產實際的船體扭轉強度檢驗的簡易方法。
船體梁扭轉變形的力學方程式
船體扭轉強度
船體扭轉強度
船體扭轉強度在分析船體扭轉時,須將船體看作為薄壁梁,這時船體的甲板和外板看作為中空梁的壁。根據薄壁梁扭轉的理論,扭轉變形包含兩種成分:一種稱為自由扭轉,另一種稱為約束扭轉。自由扭轉是船體梁的各個剖面分別繞其各自的轉動中心平行轉動,由於沿著船體長度方向各個剖面轉過的角度不相等,引起整個梁的扭轉變形。自由扭轉引起船體梁的兩端向相反方向轉動,剖面相對轉角向船中逐漸減小。約束扭轉是將船體梁的端部固定,梁的各個剖面在轉動時由於受到來自端部的限制,各個剖面之間不但有相對的轉動,而且發生相對位置的改變,這時船體發生歪斜形變。在約束扭轉形變中,離開約束端越遠,船體發生的形變越大。約束扭轉也稱為翹曲。薄壁梁的自由扭轉會在其剖面內產生剪下應力 ,而翹曲不但產生剪下應力 ,而且還會產生翹曲正應力 。在船體梁扭轉中,扭轉剪下應力一般較小。
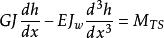
取船長的中點為x坐標軸的原點,x軸的正向指向船首,在外界扭轉力矩作用下,船體梁扭轉變形的力學方程可表示為:
船體扭轉強度式中,G為材料的剪下彈性模量,一般可取G=8×10kN/m;E為材料的拉壓彈性模量,一般可取E=2×10kN/m;J為剖面自由扭轉慣性矩;Jw為剖面的扇形慣性矩;h為剖面相對轉動的角度;dh/dx為單位長度扭轉角,稱為扭率;M為作用在薄壁船體樑上的扭轉外力矩的總和(波浪扭矩,因重量產生的扭矩等)。扭轉力學方程式中的第一項表示自由扭轉扭矩,第二項表示使船體梁發生翹曲的扭矩,這兩個扭矩之和應與外界的扭轉力矩平衡。
剖面扭轉應力計算
船體扭轉強度根據實際情況對長大的貨艙開口作以下簡化,首先,將各個貨艙口合併為一個艙口區域,其長度為 ,因艙口區域兩端的船體橫艙壁要比貨艙口間的橫艙壁在結構的剛度和強度上都強很多,所以這樣簡化是合理的;其次,為了便於計算,假定艙口區域長度以船中對稱。
波浪扭矩
在艙口區域長度範圍之內,波浪扭矩的分布可假定為餘弦曲線分布,表示為:
船體扭轉強度
船體扭轉強度為船中剖面處的最大波浪扭矩,其大小按以下公式計算:
船體扭轉強度
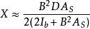
船體扭轉強度式中,e=2.7183;L為船長;B為船寬;D為型深; ,其中C為水線面係數;X為扭轉中心在船底以下的距離。
剖面慣性矩計算
(1)剖面自由扭轉慣性矩J的近似計算公式為
船體扭轉強度式中,B為船體包括兩舷側板厚的實際寬度;D為包括甲板板厚和船底板板厚的實際型深;C為甲板邊板的寬度;tb為船底板的板厚;ts為船側板的板厚;td為甲板的板厚。
(2)剖面的扇形慣性矩Jw的近似計算式
船體扭轉強度
船體扭轉強度式中,
(3)剖面扭心離船底基線的距離X,按下式計算
船體扭轉強度
