與對照的差異檢驗(difference from control),也稱差異程度檢驗(degree of difference test,DOD),由Aust等於1985年建立。在這種方法中,呈送給評價員一個對照樣和一個或幾個待檢驗樣,並告知評價員,待檢驗樣中的某些樣品可能和對照樣是一樣的,要求評價人員定量地給出每個樣品與對照的差異程度。
適用範圍
用這一檢驗可以檢驗的目標是兩個:
(1)可以檢驗定一個及多樣品與對照樣品之問的差異是否存在。
(2)估計這些差異的大小,一般將其中一個樣品設定為“標準樣或對照樣”,而評定所有其他樣品與對照差異程度的大小。
與對照的差異檢驗試用於樣品間存在可以檢檢驗到的差異,但檢驗定目標主要是通過樣品間差異的大小來作決策的情形,如在進行質量保證、質量控制、貨架壽命試驗等研究時,不僅要確定產品間是否有差異,還希望知道差異的程度。該方法對於那些由於產品本身的不均一性而使得三角檢驗試、二一三點檢驗試不適合使用時,如肉製品、焙烤製品等,採用本方法更適合。
評價員
一般需要20~50個評價員。評價員可以是經過訓練的,也可以是未經訓練的,但評定分組不能是兩類評價員的結合。所有評價員均應該熟悉檢驗形式、尺度的意義、評定的編碼、樣品中有作為盲樣的對照樣。
組織與設計
呈給每個評價員一個對照樣、一個或幾個待檢驗樣(其中包括對照樣,作為盲樣),要求評價員通過一個差異程度尺度評出各樣品與對照問的差異大小。評價過程中,讓評價員知道這些樣品中有些與對照樣是相同的,評定結果通過各樣品與對照問差異的結果來進行統計分析,比較產品與對照間的差異顯著性。
如果可能,將樣品同時呈給評價員,包括標誌出來的對照樣、其他待評的編碼樣品和編碼的盲樣(對照樣)。將一個對照樣標誌出來,每個評價員給一個,其他的對照則編碼以樣品形式給出。如果選擇這種方法是由於比較複雜的樣品,或是由於容易產生適應的樣品,則每次評定中對任何評價員都只能給一對樣品。
使用的尺度可以是類別尺度、數字尺度或線性尺度,類別尺度可以是如下形式:
詞語類別尺度 數字類別尺度
無差異 0=無差異
極小的差異 1
較小的差異 2
中等的差異 3
較大的差異 4
差異大 5
極大的差異 6
7
8
9=極大的差異
如果使用詞語類別尺度,在進行結果分析時要將其轉換成相應的數值。
結果整理與分析
計算各個樣品與空白對照樣差異的平均值,然後用方差分析(如果僅有一個樣品則可以用成對t檢驗)進行統計分析以比較各樣品間的差異顯著性。
註:成對t檢驗即配對t檢驗,是單樣本t檢驗的特例。配對t檢驗:是採用配對設計法觀察以下幾種情形:(1)配對的兩個受試對象分別接受兩種不同的處理;(2)同一受試對象接受兩種不同的處理;(3)同一受試對象處理前後的結果進行比較(即自身配對);(4)同一對象的兩個部位給予不同的處理(具體可以參閱數理統計t檢驗章節,在實際情況中很少用到)。
t檢驗是用於小樣本(樣本容量小於30)時,兩個平均值差異程度的檢驗方法。它用t分布理論來推斷差異發生的機率,從而判定兩個平均數的差異是否顯著。其一般步驟如下。
第一步,建立虛無假設H:u=u,即先假定兩個總體平均數之間沒有顯著差異。
第二步,計算統計量t值,對於不同類型的問題,選用不同的統計量計算方法。
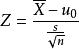
(1)如果要評斷一個總體中的小樣本平均數與總體平均值之間的差異程度,其統計量t值。
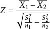
與對照的差異檢驗(2)如果要評斷兩組樣本平均數之間的差異程度,其統計量t值的計算公式為:
與對照的差異檢驗第三步,根據自由度妒df=n-1,查t值表,找出規定的t理論值(見附表1)並進行比較。理論值差異的顯著水平為0.01級或0.05級。不同自由度的顯著水平理論值記為t(df)和t(df).
第四步,比較計算所得的t值和理論r值,推斷髮生的機率,依據下表t值與差異顯著性關係表做出判斷。
t值與差異顯著性關係表
| T值 | P值 | 差異顯著程度 |
| t≥t(df) | P≤0.01 | 差異非常顯著 |
| t≥t(df) | P≤0.05 | 差異顯著 |
| t<t(df) | P>0.05 | 差異不顯著 |
第五步,根據以上分析,結合具體情況,得出相應結論。

