簡介
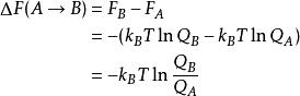
自由能微擾(英語: Free Energy Perturbation,縮寫: FEP)是用來計算自由能的一種常用方法。最早由R. W. Zwanzig在1954年提出。以正則系綜為例,從狀態A到狀態B的自由能變化可以由下式算出:
自由能微擾
自由能微擾
自由能微擾
自由能微擾
自由能微擾其中T為溫度,和分別為狀態A和狀態B的哈密頓量,為玻爾茲曼常數,表示在狀態A的系綜中取系綜平均。簡單而言,為了計算狀態A與狀態B之間的自由能差,只需通過在狀態A的系綜中對兩狀態之間的能量差採樣,然後求平均即可。採樣可以使用分子動力學或者蒙特卡洛方法模擬。
原理
自由能微擾以正則系綜為例,已知狀態A的配分函式為:
自由能微擾
自由能微擾
自由能微擾其中。那么狀態B的配分函式可以做如下改寫:
自由能微擾即
自由能微擾而狀態B與A之間的自由能差
自由能微擾故有
自由能微擾套用
自由能微擾被廣泛套用於各種自由能的計算,並被集成到各種分子模擬軟體中,包括:
•AMBER
•BOSS
•CHARMM
•Desmond
•GROMACS
•MacroModel
•MOLARIS
•NAMD
•Tinker
在使用自由能微擾進行自由能計算的時候,需要注意由於狀態A與B之間能量差太大而導致的採樣不足問題。在這種情況下,需要把A到B之間劃分成多個視窗進行採樣,或者採用其他自由能計算方法,比如Bennett acceptance ratio以及Umbrella Sampling。
