概念
所謂自由液面,是船體總任何裝載液體部分,包括水艙、油艙、雙層底以及鍋爐、凝水櫃等,沒有將液體裝滿,而存留著液體的表面與空氣相接觸,當船擺動或傾側時,這種液體的表面也將擺動或傾側,所以稱為自由液面。這種存留著自由液面的水稱為自由水或稱為散水。
自由液面修正
船舶液艙櫃中的自由液面(free surface)對船舶穩性的影響是航海生產中經常遇到的問題。對這一問題,人們從造船的角度進行了深人理解研究,從航海生產的角度進行了許多套用研究。以下論述自由液面對船舶穩性的影響原理,給出了各種艙形中自由液面對穩性減小值的計算公式以及液艙中的縱向隔壁對自由液面影響值的計算公式;分析了自由液面對穩性的影響與船舶傾角的關係、與艙內液體數量的關係、與艙內液體密度的關係、與艙內連通閥作用的關係,並且一併給出有關的計算公式;
生產中,船員應熟練掌握各種自由液面對船舶穩性減小值的計算方法,深入了解在各種情況下削弱自由液面影響的方法。
自由液面修正的理論公式
實船中可能出現的液艙液面形狀,可概括成圖1所示各種,這裡將(a)~(i)各種液面形狀對穩性影響的公式一併給出,以供船員在生產中套用。
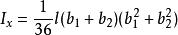
梯形公式
圖1
自由液面位於船中左右的雙層底液艙、橫貫左右舷的雙層底液艙、首尾尖艙、深艙等的液面多呈圖1(a)~(d)形狀,這時各液面的面積慣矩 (m )可以寫成統一公式,
自由液面
自由液面式中, 為梯形的長度(m),b和b分別為梯形的上底和下底寬度(m)。這一公式直接適用於(d)形液面的情形。
自由液面對於(a)形液面, =b1=b2=b,即
自由液面對於(b)形液面,b1=b2=b,即
自由液面對於(c)形液面,b1=0,b2=b,即
自由液面橢圓形公式
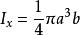
一些液化氣體船上,艙櫃呈球形、圓柱形、橢圓柱形,其自由液面呈圓形和橢圓形,如圖1(e)~(g)。這類液面的面積慣矩可以統一寫成
自由液面這一公式直接適用於(g)形液面。
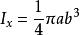
對於(e)形液面,a=b=r,即
自由液面對於(f)形液面,
自由液面邊艙公式
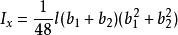
位於首尾的邊艙(雙層底、邊壓載艙、邊油水艙和邊貨油艙等)的液面多呈圖1(h)和(i)形,其自由液面慣矩可寫成統一的公式,
自由液面該公式直接適用於(h)形液面。對於(i)形液面,b1=0,b2=b,即
自由液面縱向隔壁的影響
圖2設在矩形液面中部設定一道縱同隔壁(longitudinal division),如圖2(a)所示,則面積慣矩減小3/4,即
自由液面而在矩形液面中等間距設定二道縱向隔壁,如圖2(b)所示,則面積慣矩減小8/9,即
自由液面易見,設定縱向隔壁是減小自由液面的有效方法。
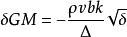
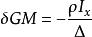
自由液面對穩性的影響值
自由液面始終減小船舶的穩性,其影響值δGM為
自由液面式中,ρ為艙內液體的密度(t/m );△為船舶排水量(t)。
而且,從以上的分析中可以得出如下幾點結論:
(1)自由液面在縱向上、橫向上或垂向上平移,不改變其對穩性的影響值;
(2)自由液面橫向上的尺度對穩性的影響值遠大於其縱向上的尺度對穩性的影響值;
(3)自由液面橫傾軸由自由面積的形狀完全確定,該軸必過其面積形心,並與船舶首尾線平行。
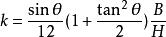
自由液面修正的經驗公式
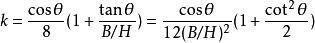
表1實船中可能出現的液艙液面形狀有時並不能在圖1中找到確切的對應形狀。這時,若進行理論計算,可能需要較大的工作量。這在船上常常不可行。為此,國際海事組織等國際機構建議採用下式進行估算。
自由液面式中,ρ為液體密度(t/cm );△為船舶排水量(t);b為液艙寬度(m);δ為液艙方形係數,即液艙總體積與其最大長L、最大寬B、最大高度H的乘積的比值;k以B/H為引數在表1上查取。查表中,
自由液面
自由液面若,則取;
自由液面
自由液面若,則取。

