簡介
當水滲透進入含水層,且往下坡方向流動時,下層便會受到壓力。造成壓力的原因是上層大量的水壓在下層的水上。這種情況與潛水員在深海潛水的情況一樣,越向深處潛水,受到的壓力就越大。含水層系統的壓力狀況可用圖示的U形管壓力計來說明。當管內沒有壓力時,管內兩端的水會處在相同的高度。如果左邊管子向上升,則該管內所增加的水壓,將使右邊管子裡的水位升高,直至管兩端的水位再次相同。如果右管被封住,則右管里的水當然不能升到相同的高度。然而,在右管的封口處,該點水壓將會增加,此壓力由左邊管子裡的高水位引起。
如果地下水層的上、下層都是如同液壓計的管壁的不透水層,則水就被限制在其中,形成特殊的地下水系統。不透水層稱為限制層(confining layers)。有時也用其他名稱來表示這一層。如果該層根本就不透水,則稱為不透水層(aquiclude)。如果該層比含水層不易透水,但並不是完全不透水,則稱為弱透水層(aquitards)。位於不透水層之間的含水層稱為限制含水層(confined aquifer)。如果含水層中的水受到壓力,則稱為自流含水層(artesianaquifer)。“artesian”這一名稱源自法國Artois(拉丁文為Artesium)省的地名,在羅馬時期,這個地方的井水會自動流到地面來。
在限制層和地面相交的地方,水會進入自流含水層。這些地帶往往位於地質的隆起處(uplift)。這些暴露在地表的地下水層稱為回注區(recharge area)。自流含水層受壓的原理與受壓的壓力計是相同的。因為回注區的高度高於上層不透水層底部的高度,所以不透水層上面水的高度將在含水層中產生壓力。回注區與上層不透水層底部之間的垂直距離越大,水位的高度就越高,所造成的壓力也越大。
分類
根據地質條件,有兩種基本類型的含水層。
潛水含水層
這類含水層的水面處於大氣壓力之下,它在地面以下的深度通常隨著地貌條件而不同。潛水含水層通常由降水補給或由其上覆或下伏含水層(滲漏含水層)的越流補給。排泄區由地貌條件決定,一般不太明顯。地下水流為層流。
對於飽水厚度b的積分,則得到非均質、各向異性介質中二維水流的基本方程式:
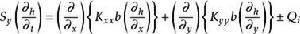
自流含水層承壓含水層
承壓含水層即自流含水層。這類含水層被封閉在兩個相對不透水層之間,因此其中的地下水所承受的靜水壓大於大氣壓。這種類型含水層的補給來自其裸露處的降水和其上覆及下伏含水層(承壓漏含水層)的越流。其排泄區取決於地質和水文地質條件。地下水流也是層流。
對於含水層厚度的積分,並加上源/匯點項和越流項,則得到以下二維水流表達式:
自流含水層
