簡介
脈衝相位調製(PPM)最早由Pierce提出並套用於空間通信,是利用脈衝的相對位置來傳遞信息的一種調製方式。在光通信中,這種調製方式可以以最小的光平均功率達到最高的數據傳輸速率。PPM的優點在於:它僅需根據數據符號控制脈衝位置,不需要進行極性和脈衝幅度的控制,便於以較低的複雜度實現調製與解調,PPM特別適用於室內計算機紅外線通信和對潛通信等要求低平均功率傳輸信息的場合。PPM信號調製廣泛套用於超寬頻移動通信、光通信等現代通信前沿技術領域。PPM信號的調製和接收對通信系統的性能起很大作用。
分類
PPM調製採用斷續的周期性光脈衝作為載波,利用信源的二進制信息控制脈衝的位置。脈衝位置調製的形式主要有三種:單脈衝相位調製(L-PPM)、多脈衝相位調製(MPPM)以及差分脈衝相位調製(DPPM) 。
單脈衝相位調製(L-PPM)
脈衝相位調製
脈衝相位調製 單脈衝相位調製(L-PPM),是將一個二進制的n位數據組映射為由 個時隙組成的時間段上的某一個時隙處的單個脈衝信號。可見,一個L位的PPM調製信號傳送的信息比特為 。如果將n位數據組寫成M={m1,m2,m3,Λ,mn},而將時隙位置記為l,則單脈衝PPM調製的映射編碼關係可以寫成是:
脈衝相位調製 (1)
例如對於~個4-PPM調製:
若M=(0,0),則l=0;
若M=(1,0),則l=1;
若M=(0,1),則l=2;
若M=(1,1),則l=3;
脈衝相位調製 0、1、2、3分別對應時隙位置,如圖所示。
可以看出,(1)式決定的映射Φ是一一映射,滿足調製唯一性的要求。
脈衝相位調製
脈衝相位調製
脈衝相位調製
脈衝相位調製
脈衝相位調製
脈衝相位調製
脈衝相位調製
脈衝相位調製
脈衝相位調製
脈衝相位調製
脈衝相位調製
脈衝相位調製
脈衝相位調製
脈衝相位調製
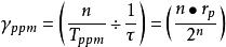
脈衝相位調製 對於一個碼元速率為 =1/ 的數字基帶信號,它對理想低通信道頻寬的要求是B= /2。假設OOK信號的碼元速率為 =1/ ,L-PPM信號的碼元速率為 =1/ ,在要求傳信率相同的情況下,有: L= ,所以B/B’= /L。一般,L= ,n為整數。可見,L-PPM調製對頻寬的要求比OOK要大。但是,對於一個套用L-PPM調製的光通信系統,它的平均光傳送功率為 /L, 是碼元為1時的傳送光功率。而套用OOK調製的光系統(不歸零碼),在1和0齣現機率相同的情況下,平均光傳送功率為 /2。這一點對於一些用光作為通信載體的手持設備,攜帶型終端特別有利。分析表明,PPM的功率及頻帶利用率兩者之間的折中率較好,IEEE802.11委員會於1995年11月推薦PPM調製方式用於速率為0~10 MHz的紅外無線通信。
比較不同調製方式的一個參數是單位傳信率,即每秒每赫茲傳輸比特數γ
脈衝相位調製 (2)
式中:
脈衝相位調製 R是傳輸速率(bit* );
B是信號頻寬(Hz)。
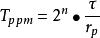
在光通信中,雷射器通常工作於脈衝狀態,脈衝持續時間為τ,相應的信號頻寬定義為
脈衝相位調製 (3)
脈衝相位調製 對於占空比為 的OOK調製碼元,則它的單位傳信率是
脈衝相位調製 (4)
脈衝相位調製
脈衝相位調製
脈衝相位調製
脈衝相位調製 對於單脈衝L-PPM調製,若時隙數為L= ,占空比同樣為 ,則 個時隙的寬度為 。因此,相應的單位傳信率為
脈衝相位調製 (5)
從(4)式和(5)式可以看出,在相同傳信率時,單脈衝PPM調製要求傳輸碼率比OOK調製高,相應的頻寬也大。
差分脈衝位置調製
脈衝相位調製 差分脈衝位置調製(DPPM)是一種在單脈衝PPM調製基礎上改進的調製方式。前文提到,對於一個L-PPM碼組,它的位數是固定的L位,其中一位為1,其他的位都為0。而L-DPPM的碼組位數是不定的,它是由一串低電平後跟著一位高電平構成。如圖所示。
脈衝相位調製 從圖中可知,DPPM調製信號將PPM調製信號的一個碼組中高電平以後的信號全部去掉。可見,對於L-DPPM信號與L-PPM信號仍然有相同的分析。一個L-DPPM碼組傳輸的信息比特和一個L-PPM碼組相同,都為 比特。但是在相同傳信率的情況下,DPPM調製比PPM調製占用的信道頻寬少,而與OOK調製相比,它的平均光傳送功率要小。
脈衝相位調製
脈衝相位調製
脈衝相位調製
脈衝相位調製 顯而易見,DPPM調製後的信號數據量是不確定的,這限制了DPPM在某些系統中的套用。在下面對DPPM單位傳信率的分析中,我們假定送來調製的信息元中l出現的機率P(1)和0齣現豹機率P(0)是相等的,並且在一個L-DPPM碼組的任一位時隙上出現1的機會都相同。那么對於占空比為 的DPPM信號,它的碼元速率為R=1/T= / ,信號頻寬B=1/ 。因為一個碼組包含的碼元位數是不定的,所以這裡只能得如L-DPPM一個碼組的平均碼元位數。這樣,平均一個鷚組的時段寬度為
脈衝相位調製 (6)
所以,DPPM調製的單位傳信率是
脈衝相位調製 (7)
需要說明的是這個單位傳信率只是統計意義上的單位傳信率。在具體某一段時問內,1和0齣現的次數可能是不同的,經DPPM調製後輸出信號碼流量可能是時變的。
多脈衝PPM調製
脈衝相位調製 多脈衝PPM調製方式是將n個二進制的信息元映射為有M個時隙組成的時段上的多個脈衝。比如雙脈衝PPM調製,如圖所示。
脈衝相位調製
脈衝相位調製 若記2脈衝位置分別是 , ,則可描述為
脈衝相位調製 (8)
由於PPM調製信號是時間序列,脈衝位置也就是時聞的先後,因此,多脈衝PPM調製可以按多個脈衝的組合或排列方式分為多脈衝組合和多脈衝排列PPM,這種排列或組合的種類表征了它們各自的傳信能力。對於多脈衝排列PPM,各個脈衝應有不同的特徵,如選取不同的電平值,或是不同的脈寬等。由於這種調製方式在實現上較為複雜,所以一般很少用到。
脈衝相位調製
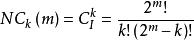
脈衝相位調製 對於多脈衝組合PPM方式,記I= 個時隙上k脈衝PPM的組合種類為 ,則有
脈衝相位調製 (9)
多脈衝的傳信能力隨著k的增加而不斷變大。它的單位傳信率可以寫為
脈衝相位調製 (10)
脈衝相位調製
脈衝相位調製
脈衝相位調製
脈衝相位調製
脈衝相位調製 其中[ ]是指取值最接近 但比 要小的數,並且[ ]= (n是≥m的一整數)。
對比
由上面的分析可以看出,L-PPM調製和L-DPPM調製與一般的OOK調製相比,都有不同程度的頻寬擴張。多脈衝PPM調製和前2種PPM調製不同,選擇合適靜脈衝數可以減小頻寬擴張甚至沒有頻寬擴張,並且可以在相同傳輸速率情況下,比OOK調製有更高的傳信率。它們的平均傳送光功率都有所降低。此外,L-PPM和多脈衝PPM解碼需要碼組同步時鐘來確定一個碼組的開始和結束,而DPPM不需要。
在接收端,要對接收到的信號進行解碼,最重要的就是對信號進行判決。對於無線光通信,不論是室內的光通信還是套用於室外的光通信或是空間光通信,由於各種原因,光脈衝總會有色散延時,脈衝波形會展寬,不僅會導致一個碼組內碼元的串擾,還會引起碼組見碼元的相互干擾。這對在接收端的判決解碼會產生很嚴重的影響,需要想辦法克服或儘量減小其影響。
對於L-PPM信號,判決可以分為軟判決和硬判決。硬判決解碼就是對每一個抽樣根據判決門限直接進行判決,高電平為1,低電乎為0。然後將已經判決的一個L位的碼組的解碼交給解碼器。融解碼器來決定解碼輸出,包括在所有抽樣都為0或是不止一位抽樣為1的情況下的解碼輸出(這時候顯然會有誤媽產生)。通常,這種判決解碼較容易實現。軟判決解碼對每一個抽樣值不量化,而是比較一個碼組中的所有L位值,由解碼器選擇L位中值最大的位作為脈衝位置進行解碼。有研究表明,在一定條件下硬判決解碼比軟判決解碼要多1.5dB功率損傷。明顯的,DPPM和多脈衝PPM就無法套用軟判決解碼 。
PPM調製系統的組成
在光無線通信系統中,大多設計為強度調製/直接檢測系統,OOK雖然是此系統中最容易實現的調製方式,但OOK的傳輸速率太低,而且不能滿足背景光較強或高速率通信時的要求,PPM調製則可以滿足這些要求,因為它是一種具有更高光功率利用率的調製方式。在PPM通信中,信息是由光脈衝所在的位置來表示的。將PPM幀的時隙劃分為M個時隙。在發射端,每log2M位的二進制信息轉化為一幀中某特定位置的一個光脈衝,在接收端,通過檢測判決光脈衝在幀中的位置,從而還原成為二進制信息。
脈衝相位調製 圖所示是PPM調製解調系統方案模型,該模型由FPGA處理單元、DSP控制單元和外圍處理單元組成。其中FPGA的功能是提取時隙同步信號和幀同步信號及對PPM信號解碼。DSP的功能是進行二進制信號的PWM編碼、控制系統、與主機通信、處理信號以及數位化模擬信號。外圍處理單元包括雷射器調製驅動電路、PPM輸出單元、APD光電轉換、光學系統、預處理單元 。
PPM信號的傳輸效率
信息的調製解調方式對通信性能具有決定性作用,在可靠的前提下,應選擇具有高的傳輸速率(單位時間傳輸的信息量)和高的傳輸效率(單位能量傳輸的信息量)的調製方式,雖然兩者可能會發生矛盾,在一個實際系統中應根據實際需要偏重一個方面。在速率一定的光無線通信領域中,要求傳輸功率儘可能小或者說效率儘可能高,PPM就滿足了以上要求。L-PPM脈衝功率與平均功率之比可以做得特別高,因為它採用斷續的周期性光脈衝作為載波,載波受到調製信號的控制,脈衝時間位置隨之發生變化而傳遞信息。L-PPM比OOK更能降低光輻射平均功率的要求。小輻射功率可以延長電源工作壽命,光L-PPM特別適合於室內計算機紅外無線通信要求低平均功率傳輸信息和對潛通信的場合,IR物理層採用PPM是無線區域網路標準草案IEEE802.11的規定。
脈衝相位調製 由表可見當保護時隙個數大於32時,L-PPM的功率利用率可以做得比OOK的高。只要取L大於16,L-PPM的能量利用率就可比OOK的高,因此L-PPM也稱為功率有效的調製。L-PPM特別適合於頻寬比較豐富而功率比較珍貴的通信環境或脈衝重複間隔有限制的通信系統。

