定義
能量譜密度
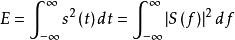
能量譜密度設一個能量信號的能量為,則此信號的能量由下式決定:
能量譜密度
能量譜密度若此信號的傅立葉變換,即頻譜密度為,則由巴塞伐爾(Parseval)定理得知:
能量譜密度
能量譜密度
能量譜密度
能量譜密度
能量譜密度
能量譜密度上式表示在頻率軸上的積分等於信號能量,所以稱能量譜密度,它表示在頻率處寬度為d的頻帶內的信號能量,或者看作單位頻帶內的信號能量。
性質
能量譜密度
能量譜密度
能量譜密度由於信號是一個實函式,所以是一個偶函式,令,則信號能量可以改寫成:
能量譜密度
