背景差分法
在基於背景差分方法的運動目標檢測中,背景圖像的建模和模擬的準確程度,直接影響到檢測的效果。不論任何運動目標檢測算法,都要儘可能的滿足任何圖像場景的處理要求,但是由於場景的複雜性、不可預知性、以及各種環境干擾和噪聲的存在,如光照的突然變化、實際背景圖像中有些物體的波動、攝像機的抖動、運動物體進出場景對原場景的影響等,使得背景的建模和模擬變得比較困難。
背景差分法檢測運動目標速度快,檢測準確,易於實現,其關鍵是背景圖像的獲取。在實際套用中,靜止背景是不易直接獲得的,同時,由於背景圖像的動態變化,需要通過視頻序列的幀間信息來估計和恢復背景,即背景重建,所以要選擇性的更新背景。
常用的背景建模方法
(1)中值法背景建模:顧名思義,就是在一段時間內,取連續N幀圖像序列,把這N幀圖像序列中對應位置的像素點灰度值按從小到大排列,然後取中間值作為背景圖像中對應像素點的灰度值;
(2)均值法背景建模:均值法建模算法非常簡單,就是對一些連續幀取像素平均值。這種算法速度很快,但對環境光照變化和一些動態背景變化比較敏感。其基本思想是,在視頻圖像中取連續N幀,計算這N幀圖像像素灰度值的平均值來作為背景圖像的像素灰度值;
(3)卡爾曼濾波器模型:該算法把背景認為是一種穩態的系統,把前景圖像認為是一種噪聲,用基於Kalman濾波理論的時域遞歸低通濾波來預測變化緩慢的背景圖像,這樣既可以不斷地用前景圖像更新背景,又可以維持背景的穩定性消除噪聲的干擾;
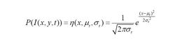
(4) 單高斯分布模型:其基本思想是,將圖像中每一個像素點的灰度值看成是一個隨機過程X,並假設該點的某一像素灰度值出現的機率服從高斯分布,用數學形式表示為:
背景差分法(5)多高斯分布模型:將背景圖像的每一個像素點按多個高斯分布的疊加來建模,每種高斯分布可以表示一種背景場景,這樣的話,多個高斯模型混合使用就可以模擬出複雜場景中的多模態情形。
(6)高級背景模型:得到每個像素或一組像素的時間序列模型。這種模型能很好的處理時間起伏,缺點是需要消耗大量的記憶體。
算法描述
(l)、對序列圖像進行3×3中值濾波預處理,去掉圖像隨機噪聲。減少以後運算的複雜度,克服噪聲對圖像處理結果的干擾。
(2)、從視頻圖像序列中選取出背景圖像所阢砂,使其只包含固定的背景圖像:
(3)、在視頻圖像序列中選取連續的兩幀圖像,其中前一幀圖像pk-1(x,y),當前幀圖像pk(x,y);
(4)、計算當前幀與背景幀的差得FD(x,y),從 圖像中提取出完整的目標;
(5)、計掉當前1幀的差得FG(x,y),得到目標的變化量;
(6)、求幀差FD(x,y)與,FG(x,y)的交集得到運動目標粗糙的運動區域幽像,
(7)、數學形志學運算使得運動區域封川、連續、完整,並去掉背持中的噪聲。
其中:(略)
