原子吸收法
原理
試樣經灰化或消化後製成稀酸溶液,以鑭溶液消除陰離子效應,原子化後,在422.7nm測定其吸收值與鈣濃度成正比,與標準系列比較測定鈣含量。
試劑
若無特別說明,所用試劑均為分析純,所用水應符合GB/T 6682的要求。
(1)硝酸:優級純。
(2)高氯酸:優級純。
(3)鹽酸:優級純。
(4)硝酸溶液:硝酸+水=1+1。
(5)氯化鑭溶液(20g/L):稱取23.45g氯化鑭於250mL燒杯中,用少量水潤濕後加入75mL鹽酸,將製成的溶液轉移至1000mL容量瓶中,加水至刻度,混勻。
(6)混酸消化液:硝酸+高氯酸=7+1。
(7)鹽酸溶液:鹽酸+水=1+1。
(8)鈣標準溶液(100ug/mL):國家有證標準物質,或按下述方法配置:稱取在105-110℃,乾燥2h的基準碳酸鈣0.2497g於燒杯中,加入少量鹽酸溶液使之溶解,轉移至1000mL容量瓶中,用水稀釋至刻度,混勻。
(9)鈣標準使用液(10ug/mL):吸取鈣標準溶液5.00mL,用氧化鑭溶液定容至50mL。
(10)硝酸溶液:硝酸+水=1+9。
儀器和設備
所有玻璃儀器均以硝酸溶液浸泡2h以上,用去離子水沖洗後晾乾或烘乾,方可使用。
實驗室常規設備及下列儀器。
(1)機械設備:用於式樣的均質。包括絞肉機、斬拌機等肉類組織粉碎機。
(2)馬弗爐:可控溫於550℃±20℃。
(3)乾燥箱。
(4)石英坩堝。
(5)分析天平:可準確稱重至0.001g。
(6)電熱板。
(7)原子吸收分光光度計。
分析步驟
(1)試樣液製備
試樣準備
按GB∕T 9695.19規定的方法取樣。至少取有代表性的試樣200g,使用適量的機械設備,將試樣均質,均質後的試樣儘快分析,否則應密閉低溫貯存,防止試樣或成分發生變化,貯存的試樣在啟用時應重新混勻。
試樣消化
乾灰化法
稱取1-2g試樣(精確至0.001g)放入石英坩堝中,置於130±10℃乾燥箱中烘1h,使試樣脫水。將坩堝在在可調電爐上緩慢加熱,使試樣炭化,開始是用小火加熱,以防止試樣濺出,待大煙冒過後提高溫度,使試樣完全炭化,直至補冒煙為止。炭化好的試樣放入馬弗爐中,於550±20℃下灰化2h。灰化好的試樣應是灰白色,若灰分中有黑色碳粒,應取出坩堝,冷卻至室溫,加硝酸溶液濕潤,然後在電熱板上烘乾後,在至於550±20℃馬弗爐中灰化,直至灰分呈灰白色。
灰化好的試樣用1.25mL硝酸溶液溶解,轉移到25mL容量瓶中,用氯化鑭溶液沖洗石英坩堝多次,合併洗液,並用氯化鑭溶液稀釋至刻度,搖勻。此溶液為試樣液。
濕消化法
稱取1-2g試樣(精確至0.001g)放入100mL錐形瓶中,加入混酸消化液20mL,放入兩粒玻璃珠,蓋上小漏斗,靜置過夜。樣品在可調電爐上低溫緩慢加熱,以防產生大量泡沫和噴濺,消化至溶液顏色變淺,並有大量白煙時,將電爐關閉,用餘溫繼續加熱。當溶液出現淡黃、微綠接近無色時,從電爐上取下。若消化過程中溶液顏色變黑,應立即停止加熱,冷卻後補加適量混酸消化液,按原步驟操作直至消化完全。用10mL蒸餾水沖洗校漏斗及錐形瓶內壁,將錐形瓶置於150℃電熱板上蒸發至錐形瓶中液體接近2-3mL,取下冷卻至室溫。將樣品轉移至容量瓶中,用氯化鑭溶液多次洗滌錐形瓶,洗液合併到容量瓶中,並用氯化鑭溶液稀釋至刻度,搖勻,此溶液為試樣液。
(2)標準工作液製備
精密吸取鈣標準使用液0.00mL、2.00mL、4.00mL、6.00mL、8.00mL、10.00mL,分別置於25mL容量瓶中,加1.25mL硝酸溶液,用氯化鑭溶液稀釋至刻度,混勻。此時容量瓶中溶液的鈣濃度分別為0.00ug/mL、0.80ug/mL、1.60ug/mL、2.40ug/mL、3.20ug/mL、4.00ug/mL。
(3)空白液製備
除不稱取試樣外,均按試樣消化步驟進行操作。
(4)測定
根據儀器型號,將儀器調至最佳條件,將標準工作液、試樣液和空白液分別導入空氣-乙炔火焰原子吸收分光光度計中,測其吸光度。測定參考條件:燈電流7.5mA,波長422.7nm,狹縫1.3nm,空氣流量9.5L/min,乙炔流量2.5L/min,燃燒器高度12.5mm。
以標準工作液中鈣的濃度為橫坐標,吸光度為縱坐標,繪製標準曲線。根據試樣液的吸光度,從標準曲線上查出溶液中對應的鈣濃度值。
(5)平行實驗
按以上步驟,對同一試樣進行平行試驗測定。
結果計算
按下式計算樣品中鈣的含量
肉與肉製品鈣含量測定 式中:
X:試樣中鈣的含量,g/kg;
c:從標準曲線上查得試樣液中鈣的濃度,ug/mL;
c:從標準曲線上查的空白液中鈣的濃度,ug/mL;
V:試樣液定容體積,mL;
M:稱取試樣的質量,g。
結果取算術平均值,保留三位有效數字。
精密度
在重複性條件下獲得的兩次獨立測定結果的絕對差值不超過算術平均值的10%。
滴定法
原理
試樣經灰化後製成稀酸溶液,在弱酸性溶液中,鈣離子與草酸根離子生成草酸鈣沉澱。過濾後,將沉澱溶於硫酸溶液中,然後用高錳酸鉀標準溶液滴定草酸根離子,求出鈣的含量。
反應式為:
CaCl+(NH)CO=CaCO↓+2NHCl
CaCO+HSO=CaSO+HCO
5HCO+2KMnO+3HSO=2MnSO+KSO+10CO+8HO
試劑
若無特別說明,所用試劑均為分析純,所用水應符合GB/T 6682的要求。
(1)硝酸:優級純。
(2)硫酸。
(3)硝酸溶液:硝酸+水=1+1。
(4)硫酸溶液:硫酸=1+24。
(5)乙醇。
(6)乙醇溶液(20%):量取20mL乙醇、80mL水混勻。
(7)甲基紅(1g/mL):稱取0.1g甲基紅,用乙醇溶液(20%)溶解並稀釋至100mL。
(8)尿素。
(9)草酸銨溶液(30g/L) :稱取3g草酸銨,用水溶解並稀釋至100mL。
(10)氫氧化銨。
(11)氫氧化銨溶液:氫氧化銨+水=1+49。
(12)高錳酸鉀標準儲備液(0.1mol/L):按GB/T 601的規定配製及標定。
(13)高錳酸鉀標準滴定液(0.02mol/L):吸取50mL高錳酸鉀標準儲備液(0.1mol/L),用水稀釋至250mL。
儀器和設備
所有玻璃儀器均以硝酸溶液浸泡2h以上,用去離子水沖洗後晾乾或烘乾,方可使用。
實驗室常規設備及下列儀器。
(1)(1)分析天平:可準確稱重至0.001g。
(2)馬弗爐:可控溫於550℃±20℃。
(3)乾燥箱。
(4)電熱板。
分析步驟
(1)試樣液製備
試樣準備
同原子吸收法
試樣消化
稱取20g試樣(精確至0.1g)放入石英坩堝中,以下操作同原子吸收法。
(2)空白液製備
除不稱取試樣外,均按試樣消化步驟進行操作。
(3)測定
灰化好的試樣用2.5mL硝酸溶液溶解,轉移到200mL燒杯中,用少量水沖洗石英坩堝多次,合併洗液,並稀至50mL。在試樣溶液中加甲基紅指示劑3滴、草酸銨溶液10mL,再加尿素4.0g,使之溶解。蓋上表面皿,在電熱板上緩慢加熱,持續微沸狀態。當甲基紅的紅色逐漸變為澄色時,草酸鈣的結晶即沉澱出來,當溶液變成黃橙色時停止加熱,放冷,室溫下放置4h以上或過夜。用慢速濾紙過濾,將沉澱轉移到濾紙上,用氫氧化銨溶液洗表面皿和燒杯4次。而後繼續用氫氧化銨溶液洗滌沉澱物4~5次。將濾紙連同沉澱置於原燒杯中,用玻璃棒將濾紙攤開並貼附於燒杯壁上,用1:24熱硫酸溶液50mL將沉澱衝下溶解。待沉澱完全溶解後,在水浴中加熱至60~80℃,用高錳酸鉀標準溶液乘熱滴定至溶液呈微紅色,將濾紙全部浸入溶液中,攪拌,繼續滴定至溶液呈微紅色30s不褪色為終點,滴定至終點時溶液溫度不應低於60℃。記錄所用高錳酸鉀標準滴定液的體積,精確至0.1mL、
(4)平行實驗
按以上步驟,對同一試樣進行平行試驗測定。
結果計算
按下式計算樣品中鈣的含量
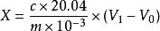
肉與肉製品鈣含量測定 式中:
X:試樣中鈣的含量,g/kg;
c(1/5KMnO):高錳酸鉀標準滴定液的實際濃度,mol/L;
V1:滴定試樣液時高錳酸鉀標準滴定液的用量,mL;
V0:滴定空白液時高錳酸鉀標準滴定液的用量,mL;
m:稱取試樣的質量,g。
20.04:1.00mL高錳酸鉀標準滴定液c(1/5KMnO)=1.000mol/L相當的鈣的質量,mg。
結果取算術平均值,保留三位有效數字。
精密度
在重複性條件下獲得的兩次獨立測定結果的絕對差值不超過算術平均值的10%。

