藥品簡介
通用名聯苯雙酯口服混懸液
英文名BIFENDATEORZLSUSPENSION
拼音名LIANBENSHUANGZHIKOUFUHUNXUANYE
藥品類別肝膽病用藥
貯藏避光,密閉保存。
包裝1.5mg
主要成分
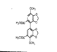
聯苯雙酯結構式通用名聯苯雙酯
化學名4,4-二甲氧基-5,6,5',6'-雙(亞甲二氧基)聯苯-2,2'-二羥酸二甲酯
拼音名LIANBENSHUANGZHI
英文名BIFENDATE(BIPHENYLDICARBOXYLATE)
分子式C20H18O10
分子量418.36
規格1.5mg
藥理毒理
本品為治療肝炎的降酶藥物,是合成五味子丙素時的中間體。小鼠口服本品150~200mg/kg,可減輕四氯化碳所致的肝臟損害和谷丙轉胺酶(ALT)升高。對四氯化碳所致的肝臟微粒體脂質過氧化、四氯化碳代謝轉化為一氧化碳有抑制作用,並降低四氯化碳代謝過程中還原型輔酶Ⅱ及氧的消耗,從而保護肝細胞生物膜的結構和功能。本品亦可降低潑尼松誘導的肝臟ALT升高,能促進部分肝切除小鼠的肝臟再生。本品的降酶作用並非直接抑制血清及肝臟ALT活性,也不加速血液中ALT的失活,可能是肝組織損害減輕的反映。本品對細胞色素P450酶活性有明顯誘導作用,從而加強對四氯化碳及某些致癌物的解毒能力。對部分肝炎病人有改善蛋白代謝作用,使白蛋白升高,球蛋白降低。對HbsAg及HbeAg無陰轉作用,也不能使腫大的肝脾縮小。
藥代動力學
本品口服吸收約20~30%,肝臟首關作用下迅速被代謝轉化。24小時內70%左右自糞便排出。
適應症
臨床用於慢性遷延型肝炎伴ALT升高者,也可用於化學毒物、藥物引起的ALT升高。
用法用量
成人口服:每次25~50mg,一日3次,連服3月。
兒童口服:0.5mg/kg,,每日3次,連用3~6個月。
不良反應
個別病例可出現口乾、輕度噁心,偶有皮疹發生,一般加用抗變態反應藥物後即可消失。
禁忌症
肝硬化者禁用。慢性活動性肝炎者慎用。
注意事項
1.少數病人用藥過程中ALT可回升,加大劑量可使之降低。停藥後部分患者ALT反跳,但繼續服藥仍有效。
2.個別患者於服藥過程中可出現黃疸及病情惡化,應停藥。
用藥
孕婦及哺乳期婦女用藥孕婦及哺乳期婦女禁用。
兒童用藥兒童用藥劑量酌減。
老年患者用藥老年患者慎用本品。
藥物相互作用
合用肌苷,可減少本品的降酶反跳現象。

