定義
聯合機率分布
聯合機率分布聯合機率分布簡稱聯合分布,對隨機向量的機率分布,稱為隨機變數的聯合機率分布。根據隨機變數的不同,聯合機率分布的表示形式也不同。對於離散型隨機變數,聯合機率分布可以以列表的形式表示,也可以以函式的形式表示;對於連續型隨機變數,聯合機率分布通過非負函式的積分表示。
隨機變數
聯合機率分布
聯合機率分布給定樣本空間,其上的實值函式稱為(實值)隨機變數。
如果隨機變數X的取值是有限的或者是可數無窮盡的值,則稱X為離散隨機變數。
如果X是由全部實數或者由一部分區間組成,則稱X為連續隨機變數,連續隨機變數的值是不可數及無窮盡的。
隨機變數分為離散型隨機變數和連續型隨機變數,當要求隨機變數的機率分布的時候,要分別處理。
離散型
聯合機率分布
聯合機率分布
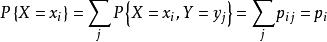
聯合機率分布對於二維離散隨機向量,設X和Y都是離散型隨機變數, 和 分別是X和Y的一切可能的集合,則X和Y的聯合機率分布可以表示為如右圖的列聯表,也可以表示為如下的函式形式:
聯合機率分布其中
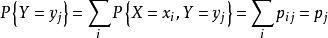
聯合機率分布多維隨機變數的中,只包含部分變數的機率分布稱為邊緣分布:
聯合機率分布
聯合機率分布
聯合機率分布對於多維(維數大於等於3)離散型隨機變數的聯合機率分布以此類推。
連續型
聯合機率分布
聯合機率分布
聯合機率分布
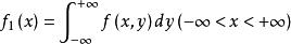
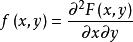
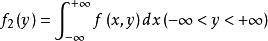
聯合機率分布對於二維連續隨機向量,設X和Y為連續型隨機變數,其聯合機率分布,或連續型隨機變數 的機率分布 通過一非負函式 的積分表示,稱函式 為聯合機率密度。
兩者的關係如下:
聯合機率分布
聯合機率分布
聯合機率分布
聯合機率分布
聯合機率分布不但完全決定X和Y的聯合機率分布,而且完全決定X的機率分布和Y的機率分布,以和分別表示X和Y的機率密度,則
聯合機率分布
聯合機率分布
聯合機率分布對於多維(維數大於等於3)連續型隨機變數的聯合機率分布以此類推。

