簡介
耦合電感工程上用耦合因數k來定量的描述兩個耦合線圈的耦合緊密程度。
定義
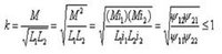
耦合因數L1、L2是線圈1和線圈2的自感係數,M是兩個耦合線圈的互感係數,i1和i2分別是流入線圈1的電流和流入線圈2的電流,Ψ11和Ψ22分別是是線圈1和線圈2的自感磁通鏈,Ψ12和Ψ21是線圈一和線圈二的互感磁通鏈
當k =1 稱全耦合,沒有漏磁。
耦合因數 k 與線圈的結構、相互幾何位置、空間磁介質有關。

簡介耦合電感工程上用耦合因數k來定量的描述兩個耦合線圈的耦合緊密程度。 稱全耦合,沒有漏磁。 耦合因數
耦合電感工程上用耦合因數k來定量的描述兩個耦合線圈的耦合緊密程度。
耦合因數L1、L2是線圈1和線圈2的自感係數,M是兩個耦合線圈的互感係數,i1和i2分別是流入線圈1的電流和流入線圈2的電流,Ψ11和Ψ22分別是是線圈1和線圈2的自感磁通鏈,Ψ12和Ψ21是線圈一和線圈二的互感磁通鏈
當k =1 稱全耦合,沒有漏磁。
耦合因數 k 與線圈的結構、相互幾何位置、空間磁介質有關。
信號衰減是通信傳輸的一個重要特徵。信號衰減程度不但是評價通信質量優劣的重要指標,而且直接影響著通信系統的擴容升級、通信傳輸纜線布置中的中繼距離等特性。為...
簡介 通信傳輸的分類 衰減 改變傳輸因數的方法《耦合電容器及電容分壓器(GB/T 19749-2005)》是對JB/T 8169—1999的修訂,修訂時,除對原標準作了編輯性修改外,主要技術內容有如...
內容簡介 圖書目錄電路分析、三相電路、頻率回響、耦合電感的電路分析、雙口網路、拉普拉斯變換... 1556.3.2 耦合電路 1566.3.3 微分電路 156...耦合電感和理想變壓器電路的分析 24110.1 耦合電感的伏安關係式...
圖書一 圖書二 圖書三 圖書四 圖書五因數(tgδ),相對介電常數(εr)和直流電阻率(ρ)的精密測量。RY1型...在規定溫度(室溫~180℃範圍內)的介質損耗因數和介電常數。2)主要技術指標...,聚丙烯,電容紙、雲母片等)的試品做介質損耗因數及相對介電常數測量。電極設計為...
發展與現狀 技術指標 專用附屬檔案分配噪聲 2.4 噪聲係數和噪聲因數 2.4.1 噪聲係數 2.4.2 噪聲因數 2.4.3 級聯放大器的噪聲係數...電阻與噪聲係數 2.5.4 噪聲因數等值圖 2.6 半導體分立元件...
基本信息 內容介紹 圖書目錄, 各種耦合常數間也有著十分明確的關聯。 超對稱自提出到2013年已經快...相互作用的耦合常數必須在大統一能標上彼此相等, 這一點在理論上是可以加以驗證的。 但是驗證的結果卻令人沮喪, 在標準模型框架內上述耦合常數在任何能量...
起源 轉換 理論 發展 作用, 各種耦合常數間也有著十分明確的關聯。 超對稱自提出到2013年已經快...相互作用的耦合常數必須在大統一能標上彼此相等, 這一點在理論上是可以加以驗證的。 但是驗證的結果卻令人沮喪, 在標準模型框架內上述耦合常數在任何...
起源 轉換 理論 發展 作用7.5.2 單迴路工況 7.5.3 蓄能器工況 7.5.4 耦合工況... 第9章 鼓式制動器制動效能因數的虛擬樣機模型 9.1 鼓式制動器制動效能因數的線性靜力學數學模型 9.2 鼓式制動器制動效能因數...
作品信息 內容簡介 章節目錄測量並聯電阻值第四節 測量介質損耗因數第五節 滲漏油檢查第六節 耦合...有:測量絕緣電阻,測量泄漏電流,測量介質損耗因數,交、直流耐壓試驗...分析第七節 測量結果的分析判斷複習題第三章 測量介質損耗因數第一節 介質...
內容簡介 目錄