定義
耦合反應偶合反應是指重氮鹽與含活潑氫原子的化合物發生的以偶氮基取代氫原子的反應。如這一反應是重氮正離子的親電取代反應,不論A-H是芳香族或脂肪族化合物,只要A有足夠的電子云,都可發生親電取代反應。反應時重氮鹽正離子進攻偶合組分核上電子云較高的碳原子,形成中間產物,這是一步可逆反應。該中間產物迅速失去一個氫質子,不可逆地轉化為偶氮化合物。
分類
芳胺和酚的耦合
芳胺和酚的耦合芳胺和酚的對位(和鄰位)電子云密度較大,易發生偶合反應,但一般僅進攻對位,這是因為重氮正離子受羥基或氨基的位阻影響,不易對鄰位進攻。若對位被其它基團占據,則視該基團的性質,或進入其鄰位,或是芳偶氮基取代該基團(亞硫酸根,-COOH),生成對羥基偶氮化合物。若對位和兩個鄰位均被占據,則不發生偶合。由各種酚和芳胺經重氮鹽形成的偶合化合物,色彩鮮艷,經常做染料使用,稱為偶氮染料。
耦合反應以上反應是偶氮染料化學的基本反應,酚和重氮鹽的偶合,必須在弱鹼性溶液中進行。在強酸性的溶液中,偶合反應一般不發生。
在弱酸性介質中,重氮組分與芳胺反應有三種情況:
(1)與芳環活性強的胺,如間甲苯胺、間苯二胺、N,N-二甲基苯胺、α-萘胺等反應,直接生成偶氮化合物。(2)與芳環活性弱的胺,如苯胺,對甲苯胺、鄰甲苯胺、N-甲基苯胺等反應,先生成重氮胺基化合物,然後在一定條件下重排為偶氮化合物。(3)與易生成難重排的重氮胺基化合物的伯胺偶合時,應將氨基保護起來,待偶合反應完成後再把它水解釋放出來。保護氨基常用的方法是:苯二胺(酚)作偶合組分時,通常只有間位化合物易偶合,偶合產物主要在4-位。若4-位被占據,偶合產物則主要在6-位。
萘系化合物的耦合反應
(1)α-萘胺(酚)作偶合組分時,偶氮產物主要在4-位。若4-位被占據,則進入2-位。
(2)β-萘酚(胺)作偶合組分時,芳偶氮基進入α-位。若α-位被占據,一般不發生偶合或在個別情況下發生偶合時,α-位原基團脫掉。
(3)α-萘酚(胺)磺酸作偶合組分時,芳偶氮基進入的位置和磺酸基所在位置有關。當磺酸基在羥基(氨基)的3,4或5-位時,芳偶氮基總是進入羥基(氨基)的鄰位。
(4)氨基萘酚磺酸在酸性或鹼性介質中偶合時,芳偶氮基分別進入氨基和羥基的鄰位。可見,芳偶氮基進入的位置決定於介質的PH值。
氨基萘酚磺酸中H-酸是最重要的偶合組分,偶合產物與偶合方式有關。
耦合反應脂肪族化合物重氮鹽的耦合反應
耦合反應重氮鹽的偶合反應,不僅芳胺和酚可以發生,許多脂肪族化合物中含有活潑氫原子的,也可以和重氮正離子起偶合反應,生成偶氮化合物,或是異構體腙。
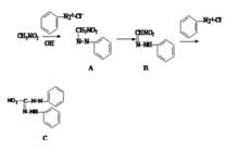
以硝基甲烷為例,在弱鹼性溶液中,苯基重氮鹽可以同它偶合,生成偶氮化合物A,A隨即異構化成B。B中仍含有活潑氫原子,還可再和苯基重氮鹽偶合成C。從A偶氮式到B腙式的異構化,趨向比較強烈。有時α-碳原子上沒有氫原子,由於這種趨向,使分子產生斷裂(水解),以取得氫原子,再從偶氮式A異構化為腙式B式。由上例可以看出,脂肪族化合物的重氮化更易形成腙。
羰基、羧基、氰基、硝基、碸基等均能使它們的α-位氫原子活化,與重氮鹽反應。β-二酮、β-酮酯、丙二酸(酯)等更容易和重氮鹽進行偶合反應。甚至雜環化合物的α-甲基、2,4,6,-三硝基甲苯的甲基等,這些甲基上的氫原子也有足夠的活性,能和重氮鹽進行反應:
耦合反應耦合反應的影響因素
由於重氮鹽一般都在水中製備,因此偶合反應一般也在水中進行。在水中很難溶解的脂肪族化合物可以加一些乙醇、吡啶或是醋酸。如果重氮鹽很活潑,像二硝基苯重氮鹽之類,偶合反應也可在冰醋酸中進行。
硝基化合物可以形成假酸式的鹽,因此,在鹼性溶液中較易溶解,β-二酮、β-酮酯等也可形成烯醇,在鹼性溶液中,也有一定的溶解度。其它具有活潑氫的化合物,也能或多或少的在鹼性溶液中溶解。同時偶合反應產生等當量的酸,因此偶合反應在鹼性介質中進行較適宜。但是重氮鹽在強鹼中能發生一系列的變化,反而不能偶合。最佳的反應條件是以醋酸鈉緩衝的弱鹼性介質。
重氮鹽的偶合,一般都在0℃左右,這樣可以避免重氮鹽的分解。但有些反應,特別是分子內偶合形成雜環的反應,速度較慢,常常需放置幾天,自然室溫放置比較方便。在這種情況下,由於以在苯環上帶有硝基、磺酸基等的重氮鹽比較穩定,可在室溫下保存,用這些重氮鹽更合適。
下面具體討論影響偶合反應的因素。
(1)芳環上的取代基
①重氮鹽芳環上的取代基
由於偶合反應是親電取代反應,因此重氮鹽芳核上的吸電子取代基對偶合反應起活化作用,反之芳核上有給電子取代基時則使偶合活性降低。
當偶合組分芳環上有供電子取代基時(如存在-OH、-NH2、-OCH3等)增加芳環上電子云密度,使偶合反應更易進行。重氮鹽常向電子云密度較高的取代基鄰位或對位碳原子進攻。當有吸電子基時(如-Cl、-SO3H、-NO2等)偶合反應便不易進行。
當偶合組分發生反應的碳原子附近的空間位阻較大,則偶合反應速度減慢。
(2)介質的PH值
實驗證明,偶合反應速度與重氮離子和酚氧離子或游離胺的濃度成正比,而它們的濃度與介質的酸度有關。
這些在溶液中相互轉化的部分(都屬於重氮化合物)隨介質的PH變化而改變其組成。在偏酸條件下,主要成分是重氮鹽,有利於重氮離子的生成;在偏鹼條件下,主要成分是重氮酸鹽,有利於重氮酸負離子的形成,而不利偶合反應。
(3)反應溫度
偶合反應溫度隨反應物的活性、重氮組分的穩定性和介質的酸度不同而異。從0℃~40℃不等,或者更高,一般為0~15℃。
偶合反應進行時,同時發生重氮鹽分解的副反應,生成焦油狀的物質。已知偶合反應的活化能(E偶合)為14.2~17.2千卡/克分子。重氮鹽分解反應的活化能(E重氮鹽分解)為22.8~33.2千卡/克分子,故E重氮鹽分解>E偶合。反應溫度每增加10℃,偶合反應速度增加2~2.4倍,重氮鹽分解速度增加3.1~5.3倍。可見選擇並控制適宜的溫度對偶合反應是很重要的。
(4)鹽效應
偶合反應是重氮鹽和偶合組分離子間發生的反應。偶合時加入電介質,它對反應速度的影響視重氮鹽和偶合組份所帶電荷而定。
在食鹽存在下進行偶合,若重氮鹽及偶合組分所帶電荷相同,則能加速偶合的速度。食鹽的存在一般對重氮鹽的分解速度影響不大。偶合時間因速度增加而減少,重氮鹽的分解反應則隨反應時間的減少而實際上被抑制,這對工業生產是有利的。例如在生產酸性媒介黑時,偶合時加入食鹽,可減少反應時間,增加產量,降低成本。
(5)催化劑的影響
當因空間位阻使偶合反應不易進行時,加入催化劑吡啶,常有加速反應的效果,如對氯苯胺重氮鹽和2-萘酚-6,8-二磺酸的偶合反應,而對1-磺酸-4-萘酚,則反應速度正常,不受吡啶影響。前者由於空間位阻,生成的活化中間物因空間位阻很不穩定,容易分解成原來的反應物質。由於活化中間物的濃度小,在反應過程中其濃度可以當作不變,催化劑吡啶的存在,有利於幫助活化中間物脫去氫質子轉化為反應產物,加速了整個反應。催化劑一般為鹼性物質如吡啶,有時溶劑水分子也有催化作用。
耦合反應的控制
主要是通過測定重氮鹽和偶合組分來實現,一般要求在反應終點重氮鹽消失,偶合組份只有微量。以苯胺重氮鹽和G鹽的偶合為例:用玻璃棒蘸反應液滴於濾紙上,染料沉澱的周圍生成無色潤圈,其中溶有重氮鹽或是偶合組份。以對硝基苯胺重氮鹽溶液在潤圈旁點一滴,也生成潤圈。若有G鹽存在,兩潤圈相交處生成橙色。同樣以H酸試液檢查,若生成紅色,則表示有苯胺重氮鹽存在。
如此每隔數分鐘檢查一次,直至重氮鹽完全消失,反應中僅餘微量偶合組份為止。有時重氮鹽本身具有深色,溶解度不大,而且偶合很慢,若用一般指示劑往往得不到明確的表示。在這種情況下,採用更活潑的偶合組分如間苯二酚、間苯二胺作為指示劑。若生成的染料溶解度太大,滴在濾紙上不能得到無色潤圈,則可在濾紙上先放一小堆食鹽,將反應液滴在食鹽上,染料即會沉澱生成無色潤圈。
重要套用
在重氮化釜內加水,加100%3,3ˊ-二氯聯苯胺,加30%鹽酸、拉開粉、次氨基三乙酸,升溫至沸騰,攪拌半小時,用冰降溫至40℃加30%鹽酸,然後加冰降溫至-2℃,快速加入亞硝酸鈉(配成30%溶液),反應約1~2分鐘,進行雙重氮化反應,終點保持碘化鉀澱粉試紙呈微藍,剛果紅試紙呈藍色,保持1小時後加活性炭,加太古油,過濾,溫度保持2℃以下。
在偶合釜中加清水,30%液鹼,攪拌下加入鄰甲氧基乙醯乙醯苯胺,使其完全溶解,加冰降溫至5℃,用約97%的冰醋酸(5倍水沖淡)進行酸析,終點PH值為6.5~7,再加58%~60%的醋酸鈉,攪拌15分鐘,溫度為5℃,備偶合。重氮鹽於1.5~2小時內均勻加入偶合釜中,PH終點值為,溫度為8℃。重氮鹽不過量,攪拌1小時後,升溫至80℃,加入升溫溶解透明的松香皂溶液(松香)與30%液鹼,繼續攪拌0.5小時,於1小時內加入20%氯化鋇溶液後,繼續攪拌半小時,升溫至90℃,攪拌半小時,過濾,自來水漂洗,漂洗液用1%硝酸銀測定,與自來水相比近似即可,產品在80℃進行烘乾、粉碎。

