簡介
飛機縱向穩定性的產生縱向穩定性是指飛機受擾動後繞橫軸保持穩定的趨勢。飛機在受到擾動而產生俯仰運動時,會自動產生抑制俯仰運動的力,該力使飛機恢復到原來的飛行姿態。縱向穩定性的作用是保持迎角不變,如右圖。
為了使飛機具有縱向穩定性,飛機的重心必須位於焦點之前。飛機的焦點是飛機迎角改變時,飛機附加升力的作力點。在亞音速情況下,飛機焦點位置不隨迎角變化而變化 。對目前常用的翼型來說,亞音速時焦點位於離翼型前緣22%~25%弦長處,而在超音速時焦點的位置離翼型前緣則增加到40%~50%弦長處 。焦點在重心之後,是飛機平尾的貢獻,因此,飛機的縱向穩定性主要由平尾提供。
飛機的重心位置對飛機縱向穩定性的影響也很大。重心越靠前,縱向穩定性越強。但重心靠前,飛機的配平阻力增大,同時要求機翼產生更大的升力。
常規布局的飛機,飛機重心位於機翼壓力中心之前,這樣,機翼升力俯仰力矩為低頭力矩,平尾升力俯仰力矩為抬頭力矩。
飛機重心及焦點相互位置影響
飛機各部分的附加升力
縱向穩定性
縱向穩定性
縱向穩定性飛機重心和飛機焦點之間的相互位置,決定了飛機是否具有縱向穩定性,如右圖。若飛機重心位於其焦點之前,則在飛機受到外界擾動後,例如迎角增加了 ,那么在飛機的焦點上,就會產生一個向上的升力增量 ,它對飛機重心形成使機頭下俯的穩定力矩,使飛機具有逐漸消除 而自動回復到原來平衡迎角的情況,即飛機是穩定的。
反之,若飛機重心位於其焦點之後,升力增量對飛機重心所形成的是不穩定的上仰力矩,使飛機迎角越來越大而沒有恢復到原來平衡迎角的情況,因此飛機是不穩定的。由此,可以得出一個重要結論:飛機的重心若位於飛機焦點之前,飛機具有縱向穩定性,飛機重心位於飛機焦點之後,則飛機便失去縱向穩定性。
提高縱向穩定性
對滑翔機來說,影響其縱向穩定性的因素很多,主要有以下幾個方面
水平尾翼面積和尾力臂
增大水平尾翼面積和增長尾力臂,有利於提高滑翔機的縱向穩定性。
縱向穩定性
縱向穩定性
縱向穩定性
縱向穩定性
縱向穩定性
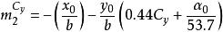
縱向穩定性式中: 代表縱向穩定係數(俯仰穩定係數), 代表水平尾翼面積, 代表機翼面積, 代表尾力臂, 代表機翼平均翼弦。
尾力臂一般指從重心到水平尾翼距前緣1/4翼弦的距離。國際級牽引模型滑翔機的縱向穩定係數在0.7~0.8。從上面公式便可看出,在機翼面積及機翼平均翼弦不變情況下,增大水平尾翼面積以及增長尾力臂都可以增大縱向穩定係數,即提高飛機縱向穩定性。
縱向穩定度
縱向穩定度是指滑翔機單位升力係數變化時俯仰力矩係數的變化量,能比較全面地衡量滑翔機的縱向穩定性。
縱向穩定性
縱向穩定性
縱向穩定性
縱向穩定性式中:代表縱向穩定度(俯仰穩定度);代表俯仰力矩係數的變化量;代表升力係數的變化量。
近似計算公式為
縱向穩定性
縱向穩定性
縱向穩定性
縱向穩定性
縱向穩定性
縱向穩定性
縱向穩定性
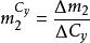
縱向穩定性式中:表示俯仰穩定度,負值表示穩定;表示重心到焦點的距離,重心在焦點前為正值,在焦點後為負值,單位:cm;表示機翼弦長,單位:cm;表示重心與焦點在垂直方向上的距離,重心在焦點下面為正值,在焦點上面為負值,單位:cm;表示升力係數;表示為無升力迎角,不對稱翼型通常是負值。
從上式中可以看到,它比用俯仰穩定係數要全面得多,例如重心位置前,俯仰穩定性好等。
縱向穩定性
縱向穩定性由於牽引模型滑翔機大多數不採用高單翼,可以近似地認為重心與焦點在一個平面上,為0,因此上式也可以改寫成。
這樣可以大大地方便牽引模型滑翔機作俯仰穩定度的升降。
縱向穩定性一般牽引模型滑翔機的大約是-0.4,臨界值為-0.15。

