定義
線擴散函式(line spread function,LSF)的概念與點擴散函式的概念很相似。亮直線(通常是照明的狹縫),通過光學系統成像後,亮度是往兩側散開的。其散開情況決定於成像系統的點擴散情況,這是因為這一亮點可以看做許多亮點組合所組成的,這許多點的擴散的堆積就構成了線像的亮度分布。
也就是說,線擴散函散是由點擴散函式堆積而成的。如果我們把像面上的線像長度方向叫做Y方向,那么線像沿x方向的亮度分布L(x)就叫做線擴散函式(一維表示法)。
點擴散函式
點擴散函式是點光源的像中光線的光照度或亮度的分布情況的數學描述。
點擴散函式的圖象取決於衍射、散焦、像差和散射光線。在缺乏散焦、像差和散射的情況中,點擴散函式稱為衍射極限點擴散函式,散焦、像差和散射光線使點擴散函式的圖像變寬。
點擴散函式的圖像還取決於孔徑光闌的形狀和直徑。
動態的線擴散函式
當光電成像系統的成像特性在空間域和時間域內都滿足線性和不變性條件時,則可以用動態線擴散函式來描述其動態成像特性。光電成像的動態線擴散函式取決予它的靜態線擴散函式和脈衝回響函式,同時還與圖像的運動速度有關。
光電成像的動態線擴散函式圖像
線擴散函式
線擴散函式右圖為動態線擴散函式的圖形。圖中在空間坐標 處是靜態的線 擴散函式 。由於運動使輸入像移開,所以隨著時間t的增加,該處的線擴散函式將按脈衝回響函式的規律衰減。同時由於運動使輸入像移到新的坐標處,從而產生了連續的線擴散函式,由此構成了右圖所示的動態線擴散函式的圖形。
右圖中的(a)圖是勻速運動的動態線擴散函式,(b)圖是變速運動的動態線擴散函式。
從右圖中可以看出,動態的線擴散函式是沿位移坐標方向上一系列連續衰減的靜態線擴散函式所疊加而成。用數學方法來描述,則動態線擴散函式等於靜態線擴散函式與衰減曲線的卷積。這裡所說的衰減曲線被定義為理想的動態線擴散函式。因為它是假定沒有像差(即靜態線擴散函式為狄拉克函式)時的動態線擴散函式。
線擴散函式
線擴散函式
線擴散函式
線擴散函式
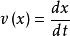
線擴散函式現在建立理想的動態線擴散函式的表達式。首先令光電成像的靜態線擴散函式為 ,對於理想條件(即無象差系統)的 同時令光電成像的時間脈衝回響函式為 。這時理想的動態線擴散函式 可表示為 。
線擴散函式
線擴散函式
線擴散函式
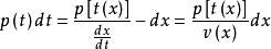
線擴散函式上式右邊的卷積所取的變數不一致,應將 函式的時間變數轉換為空間坐標變數。取 ,由於 ,所以 。
線擴散函式式中 是輸出像面的運動速度,這是所確定的理想狀態的線擴散函式是坐標x和像速v的圖像。
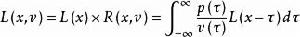
線擴散函式根據據上述分析,並考慮到光電成像的靜態像差與動態滯後兩者是不相關的,因此可以通過靜態線擴散函式與理想動態線擴散函式的卷積來確定光電成像的實際線擴散函式 ,即:
線擴散函式上式即光電成像動態線擴散函式的通用表達式。

