簡介
線性變分問題是一類變分問題,指歐拉-拉格朗日方程是線性方程的一類變分問題。
具體內容
線性變分問題
線性變分問題
線性變分問題
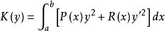
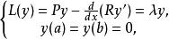
線性變分問題二次泛函的歐拉-拉格朗日方程是線性方程考慮等周問題:在條件下求泛函K滿足端點條件y(a)=y(b)=0的平穩曲線。用拉格朗日乘數法,平穩曲線是斯圖姆-劉維爾問題的屬於特徵值λ的特徵函式。
線性變分問題
線性變分問題
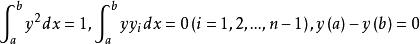
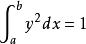
線性變分問題K(y)在條件和y(a)=y(b)=0之下的最小值是最小特徵值λ。泛函K所有特徵值可以排成一個上升的無窮序列λ≤λ≤...≤λ≤λ≤...,相應滿足的特徵函式是y,y,...,y,...,那么對於每個n,特徵值λ是泛函K(y)在條件下的極小,而實現這個極小的函式y(x)是y。
變分問題
(variational problem)
變分問題是有關求泛函的極大值和極小值的問題。最早研究的重要變分問題有:
1、最速降線問題:給定不在同一鉛垂線上的兩點A和B,求出連結A和B的一條曲線使其具有這樣的性質:當質點受重力作用沿著這條曲線由A下滑至B時所需時間為最少。
2、短程線問題:求曲面φ(x,y,z)=0上所給二點間長度最短的曲線,這條最短曲線稱為短程線或測地線。
3、基本的等周問題:求長為一定的封閉曲線l,使其所圍的面積S為極大。
