基本介紹
線性映射矩陣
線性映射矩陣
線性映射矩陣
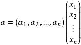
線性映射矩陣設是V的一組基,是V的一組基。是的個線性映射,則
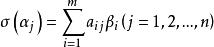
線性映射矩陣或寫成
線性映射矩陣
線性映射矩陣
線性映射矩陣把它代入式(1)得
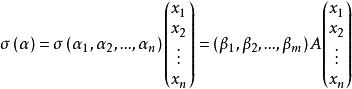
線性映射矩陣
線性映射矩陣
線性映射矩陣矩陣A稱為線性映射σ在基()與()下的 矩陣表示 。
有了線性映射(在一對基下)的矩陣表示現在可以解決V中向量α與它在V中的像之間的坐標關係。
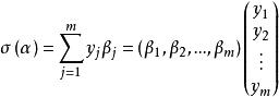
設α∈V,故
線性映射矩陣它的像σ(α)∈V,可寫成
線性映射矩陣
線性映射矩陣根據σ(α)坐標唯一性,得
線性映射矩陣寫成矩陣形式
線性映射矩陣
線性映射矩陣
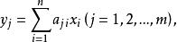
線性映射矩陣式(4)稱為線性映射在給定基()與()下向量坐標變換公式(原像與像的坐標關係) 。
相關定理
線性映射σ在給定基下的矩陣表示A是唯一的,它的逆問題就是下述定理 。
線性映射矩陣
線性映射矩陣
線性映射矩陣定理1 設V的基為,V的基為,已給m×n矩陣,則存在唯一的線性映射σ,它在這兩個基下的矩陣表示為A。
線性映射矩陣在指定了空間V和V的基之後,便可以求得線性映射在指定一對基下的矩陣表示。但是空間基是不唯一的,線性映射在不同對基下的矩陣表示之間有如下關係。
線性映射矩陣
線性映射矩陣
線性映射矩陣
線性映射矩陣
線性映射矩陣
線性映射矩陣
線性映射矩陣
線性映射矩陣
線性映射矩陣定理2 設σ是的一個線性映射,與是V的兩組基,其過渡矩陣為與是V的兩組基,其過渡矩陣為Q。線性映射σ在基與下的矩陣表示為A,在基與下的矩陣表示為B,則
線性映射矩陣
