簡介
經濟可采儲量是指在現有井網、工藝技術條件下,能從油藏獲得的最大經濟產油量。經濟可采儲量是編制油田開發方案,科學部署油氣生產並進行綜合調整的重要依據。經濟可采儲量常用的計算方法是現金流法,該方法套用了經濟評價中的投入產出盈虧平衡分析原理。從經濟角度講,經濟可采儲量是指油田的累積淨現金值達到最大,而年淨現金值為0時的累積產油量。對於已開發油田,其經濟可采儲量等於目前的累積產油量與剩餘經濟可采儲量之和。
計算方法
油田的可采儲量是油田開發的物質基礎, 其中具有經濟開採價值的可采儲量稱為經濟可采儲量, 即在現有井網、工藝技術和經濟條件下, 能從儲油層中采出的總油量。經濟可采儲量的計算和預測是一項綜合工作, 涉及到油藏工程評價及開發指標預測、經濟參數的選取及預測、經濟指標計算等等, 對於不同類型油田、不同開發階段所採用的方法和考慮的因素也不盡相同。
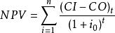
計算公式如下:
經濟可采儲量式中:
CI——為第t年的現金流入額,×10 元;
CO——為第t年的現金流出額,×10 元;
i——為基準貼現率,%;
t——為年份序列,a;
n——為計算起始年到年淨現金流等於0的年份數,a;
NPV——為經濟可采儲量的貨幣值,×10 元。
評價的一般步驟
計算經濟可采儲量的一般步驟如下:
(1)確定區塊的油藏類型、開發方式及目前所處的開發階段。
(2)預測產油量、開井數等開發指標和投資、成本等經濟參數。區塊的遞減規律大致有3種情況:在區塊的生產過程中有明顯的遞減規律段,直接用Arps遞減進行產量預測;由於有新井的投入,區塊無明顯的遞減規律段,需要借鑑老井的遞減規律取遞減率;一些新投入開發僅幾年的單元,由於產量處於上升階段,類比相鄰相似區塊的遞減規律。
(3)計算經濟可采儲量、經濟開採期等經濟評價指標。
(4)對計算結果進行合理性分析。
經濟參數取值的合理性分析
投資
經濟可采儲量投資的構成包括鑽井工程、採油工程、地面工程投資。投資的影響因素較多,油藏埋深(右圖)、油藏類型、產能規模、地麵條件、井型等都可影響到投資的取值。投資測算方法包括工作量定額預算法、水平推移法、模型預測法。
工作量定額預算法是指根據成本中各種實物消耗定額和工作量確定目標成本。其優點是確定的目標成本比較準確,缺點是測算工作量大。該方法常用於產能建設項目的可行性評價。
水平推移法是根據油田自身歷年投資水平,並考慮各種條件變化確定目標投資。其優點是簡單方便;缺點是承認現有的生產技術、管理水平和歷史成本中存在的不合理部分,但很少考慮條件變化所產生的影響。
模型預測法是根據油田歷史成本和相應地質開發技術參數建立數學模型,預測油田目標成本。其優點是綜合考慮各油田的生產技術、管理水平和具體技術參數,較客觀地反映油田平均生產技術和管理水平下的目標成本;缺點是對影響成本的因素不可能考慮得很全面,與實際有一定的誤差。該方法常用於項目前期研究的投資估算。
投資對經濟可采儲量的影響與單元的開發狀態有關。對已開發區塊,可采儲量是按照現有井網條件計算,因此不考慮投資;對未開發區塊,一般要編制概念方案計算可采儲量,因此要估算初期的開發投資,而開發投資發生在初期,與區塊壽命無關,因而對具有開發價值的區塊而言,開發投資的高低僅影響儲量價值,並不影響經濟可采儲量計算結果。
開發投資選取過大,可能造成一個矛盾的結果,即在一個區塊,計算出了可采儲量,儲量價值卻為負值;而開發投資選取過小,可能造成單位儲量實現的價值偏大。
成本
根據財務制度,油田完全成本包括21項。依據經濟評價的需要,可進一步劃分為經營成本和操作成本。計算經濟可采儲量時一般套用操作成本。成本構成又按隨產量變化情況分為固定成本和可變成本,二者占經營成本的比例可變成本在30%~50%,固定成本在50%~70%。此外,不同含水開發階段對成本也存在一定影響。成本的大小和上升趨勢,直接決定著單元的開採壽命,對單元可采儲量也會產生較大的影響。固定成本占總成本比例越高,成本的上漲趨勢越快經濟可采儲量計算過程中對成本的取值常常出現一些問題。一是因為對成本的了解太少,在評價過程中,部分單元成本取值出現明顯的錯誤,而開發人員卻不能發現;二是錯誤地套用油田成本來確定單元成本,由於單元的開發狀況和油田的開發狀況經常會存在較大差異,甚至開發方式都不同,因而直接採用油田成本往往會造成計算結果的偏差。

