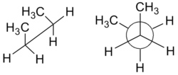
鄰交叉式丁烷的鋸架式及紐曼式。若該碳-碳鍵為重疊式構象,六根鍵中前後兩兩重合,則通常把後方的鍵稍微偏轉一個角度,以表示出來。
其他表示有機化合物結構的還有傘形式、鋸架式、鍵線式,以及費歇爾投影式和哈沃斯透視式等。

鄰交叉式丁烷的鋸架式及紐曼式。紐曼式(Newman式)是表示有機化合物立體結構的一種方法。
鄰交叉式丁烷的鋸架式及紐曼式。紐曼投影式是紐曼(Newman)於1995年提出來的。它像一架投影機一樣,是表示相鄰兩個原子連線的原子或原子團之間的空間關係。畫這種投影式是把分子的立體...
無線WIFI衝浪,MP4集成SKYPE網路電話和QQ主流網路通訊工具,溝通零距離;強勁Wince作業系統提供完美軟體兼容度,採用高性能處理器,多種格式文...
功能 特點 其他功能 參考資料作為快閃記憶體MP4以及老款硬碟MP4產品,除了容量不是特別大以外,其功能基本能夠滿足一般消費者的隨身視聽的要求。
報價 功能 評價 圖片 相關條目紐曼 H3是一款手機,採用的是滑蓋式的設計,2.4英寸螢幕,200萬像素攝像頭,支持的網路模式是GSM,該手機於2009年05月上市。
基本資料紐曼 H8是一款手機,採用的是滑蓋式的設計,2.4英寸螢幕,30萬像素攝像頭,支持的網路模式是GSM,該手機於2011年04月上市。
基本資料紐曼1918年3月3日在紐約出生,而後在新澤西和佛羅里達州長大。18歲時考進邁阿密大學專攻繪畫,可惜兩年後經濟大蕭條席捲美國,紐曼不得不輟學,走上掙錢謀...
阿諾德·紐曼 攝影的先行者 阿諾德·紐曼 - 用心靈和意念攝影 作品賞析紐曼 N8(Nphone)是2010年8月上市的一款智慧型型手機,該手機支持的頻段為GSM 900/1800,螢幕像素密度為165ppi,電池類型為可拆卸...
基本資料x1耳機 x1合格證 x1
基本資料