基本介紹
在球面三角形中:
納皮爾公式
納皮爾公式
納皮爾公式
納皮爾公式這組公式是數學家納皮爾於1614年首次提出來的 。
納皮爾公式的證明
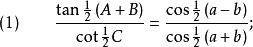
證明 由德朗布爾比例公式(即Delambre公式)得:
納皮爾公式
納皮爾公式
納皮爾公式
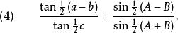
納皮爾公式由(1)÷(2),得:
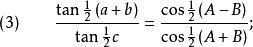
納皮爾公式由(3)÷(4),得:
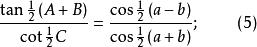
納皮爾公式由(4)÷(2),得:
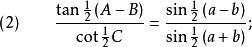
納皮爾公式由(3)÷(1),得:
納皮爾公式由(6)÷(5),直接得到球面三角形的正切定理 :
納皮爾公式
納皮爾公式(Napier formulas)是球面三角的基本公式之一,即球面三角形中兩角(邊)和、差之半的正切公式,是納皮爾(J.Napier)模仿平面三角中的正切定理推出的四個公式,用於解球面斜三角形 。
在球面三角形中:
納皮爾公式
納皮爾公式
納皮爾公式
納皮爾公式這組公式是數學家納皮爾於1614年首次提出來的 。
證明 由德朗布爾比例公式(即Delambre公式)得:
納皮爾公式
納皮爾公式
納皮爾公式
納皮爾公式由(1)÷(2),得:
納皮爾公式由(3)÷(4),得:
納皮爾公式由(4)÷(2),得:
納皮爾公式由(3)÷(1),得:
納皮爾公式由(6)÷(5),直接得到球面三角形的正切定理 :
納皮爾公式納皮爾對數(Napier logarithm)是一種古老的對數,對數的創始人是納皮爾(J.Napier),他在解決天文學中的計算問題時提出並使用了對數。...
基本介紹 納皮爾對數的產生飾)和萊納德·霍夫斯塔特Leonard Hofstadter (約翰尼...飾),頓時吸引了萊納德Leonard的目光。佩妮Penny是個夢想成為...,是位與萊納德Leonard、謝爾頓Sheldon截然不同的追求時尚...
劇情簡介 分集劇情 演職員表 角色介紹 音樂原聲在玩性愛虛擬角色遊戲,竟然伯納黛特也出現在了自己的潛意識中。第二天,萊爾...。霍爾德告訴萊爾德自己和伯納黛特和好了,萊爾德問他有沒有和有一種中虛擬...納黛特給霍爾德打電話,霍爾德大肆炫耀,萊爾德很尷尬,可是就連拉傑也有...
劇情簡介 分集劇情 演職員表 角色介紹 音樂原聲約翰·納皮爾/約翰·奈皮爾(John Napier,1550-1617)蘇格蘭數學家、神學家,對數的發明者。
約翰·納皮爾 生平經歷 特殊貢獻亨利·喬納森·皮姆(Henry Jonathan Pym)即初代蟻人(Ant-Man),是美國漫威漫畫旗下超級英雄,初次登場於《驚異故事》(Tales ...
人物背景 人物經歷 能力 家庭成員 影視形象尤彌爾,《進擊的巨人》人物之一。第104期訓練兵團畢業生(於漫畫第21話中最終選擇加入調查兵團。)。可以進行巨人化,帶有尖牙,行動敏捷。是一個充滿謎團的...
角色背景 角色形象 角色資料 人際關係 他人評價萊納·布朗(ライナー・ブラウン, Reiner Braun),動漫作品《進擊的巨人》人物之一。姓名來自古德語,意為“決定性的戰士”。現任馬萊陸軍戰士隊的...
角色設定 角色能力 角色經歷尤彌爾,日本動漫《進擊的巨人》角色。第104期訓練兵團畢業生(於漫畫第21話中最終選擇加入調查兵團)。原本是在牆外遊蕩的無智力巨人艾爾迪亞人的一員,因為...
角色背景 角色形象 人際關係 角色能力 角色經歷尤彌爾,日本動漫《進擊的巨人》角色。第104期訓練兵團畢業生(於漫畫第21話中最終選擇加入調查兵團)。原本是在牆外遊蕩的無智力巨人艾爾迪亞人的一員,因為...
角色背景 角色形象 人際關係 角色能力 角色經歷