主導概念
我提出主導概念,物體在主導狀態時,會覺得宇宙上的任一物體會發生改變,或者在發生某種聯繫變化,即對任一物體主導。物體在未導概念時,自己與外界處於隔開狀態,相互獨立,此時意識不到宇宙上的任一物體會發生改變,此時物體自己的固有屬性不變。我提出主導是絕對的,未導是相對的。即宇宙上的物體與物體之間都會產生主導現象。在物體A主導時,物體B可能主導,也可能未導。在物體B主導時,物體A可能主導,也可能未導。但不存在物體A未導,而物體B也未導。所以我說主導是絕對的,未導是相對的。主導與未導是物體屬性,存在宇宙的任何地點。
你或許會提出疑問,生活中一個人處於未導狀態時,會發現其它物體也可能都是未導的呀?其實那是因為那個人此時自己與外界處於隔開狀態,相互獨立,意識不到宇宙上的任一物體會發生改變,但是此時那人的固有屬性不變。
當物體在主導狀態時,就會覺得宇宙上的任一物體會發生改變,或者在發生某種聯繫變化。所以我提出主導是絕對的,未導是相對的。此主導概念在宇宙上的任意地點適用。
因為物體在主導狀態時,會覺得宇宙上的任一物體會發生改變,或者在發生某種聯繫變化,所以主導狀態時會產生意識變化,數學形態變化和物理變化,而數學形態變化主要是幾何形態變化。
加法原則
根據主導概念,那么就我們知道在物體A主導時,物體B可能主導,也可能未導。在物體B主導時,物體A可能主導,也可能未導。但不存在物體A未導,而物體B也未導。那么你會疑問在物體未導時怎樣變為主導狀態?或者說未導在何種情況下會成為主導的?所以我提出加法原則(+原則)。即未導+主導=主導。
因為未導到主導之間,不可能再是未導,因為未導與未導排斥而矛盾,因為根據主導概念,在物體A主導時,物體B可能主導,也可能未導。在物體B主導時,物體A可能主導,也可能未導。但不存在物體A未導,而物體B也未導。所以未導+主導=主導此加法理論成立。
研究+原則
根據加法原則(+原則),未導+主導=主導理論成立。而主導概念為物體在主導狀態時,會覺得宇宙上的任一物體會發生改變,或者在發生某種聯繫變化。物體在未導概念時,自己與外界處於隔開狀態,相互獨立,此時意識不到宇宙上的任一物體會發生改變,此時物體自己的固有屬性不變。那么我們假說未導物體為一幾何模型,你可以意識它與外界處於隔開狀態,相互獨立,意識不到宇宙上的任一物體會發生改變。此時因為主導是絕對的,物體A與物體B,之間肯定有一物體處於主導,存在宇宙的任何地點。即事物A與事物B,之間肯定有一事物處於主導。而此時事物A為一幾何模型,它與外界處於隔開狀態,相互獨立,此時意識不到宇宙上的任一物體會發生改變。所以事物A為未導,那么事物B肯定為主導。而對於事物B是任一的,即事物B可以是宇宙上的任一事物,也肯定此時事物B主導。
那么我假說此時的事物B是力F。又因為F=ma。
所以此時我們總結一下,我們研究什麼呢?我們研究一個未導幾何模型,最後為力F(F=ma)。根據主導概念與加法原則(+原則)。此時事物B(力F)對事物A(幾何模型)主導,事物A(幾何模型)與事物B(力F)體系在加法原則下形成主導。
我們知道主導狀態時會產生意識變化,數學形態變化和物理變化,而數學形態變化主要是幾何形態變化。
那么根據這一個例子,幾何模型未導時與外界處於隔開狀態,相互獨立,此時物體自己的固有屬性不變。當事物B(力F)對事物A(幾何模型)主導狀態時,幾何模型已經發生了數學形態變化和物理變化。而且你會驚訝的發現與生活相符合,幾何模型在力F的作用下產生了物理變化。如單擺模型在重力作用下發生物理變化,單擺上的靜止物體m它有了一個加速度a,與速度v。
研究主導
那么根據這一個例子,幾何模型未導時與外界處於隔開狀態,相互獨立,此時物體自己的固有屬性不變。當事物B(力F)對事物A(幾何模型)主導狀態時,幾何模型已經發生了數學形態變化和物理變化。而且你會驚訝的發現與生活相符合,幾何模型在力F的作用下產生了物理變化。如單擺模型在重力作用下發生物理變化,單擺上的靜止物體m它有了一個加速度a,與速度v。
我們推斷未導的幾何模型在物理變化下得到一個主導的力。因此只要宇宙中類似的推斷正確,未導的幾何模型在物理變化下得到一個主導的力,那么反過來主導的力是可以由未導的幾何模型在物理變化下得到的。那么我們會驚訝的發現我們在研究一個未導的幾何模型與物理變化過程。
所以我們研究主導,主要研究未導幾何模型與物理變化過程。
數學推導實例
單擺模型在重力作用下發生物理變化,單擺上的靜止物體m它有了一個動量和衝量,與速度v。
系統論[蘭超宇宙學理論]根據+原則(加法原則)可得
未導單擺模型+物理變化過程=主導(事物B力F=ma)
物理變化過程:單擺上的靜止物體m它有了一個動量和衝量,與速度v。
正確的物理實質為質點m的動量定理。
系統論[蘭超宇宙學理論]
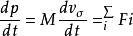
系統論[蘭超宇宙學理論]微分形式的動量定理若質點系的總質量為M,質心速度為 ,
系統論[蘭超宇宙學理論]則它的總動量為 。
系統論[蘭超宇宙學理論]上式二邊對時間求導數,並利用質心運動定理得:
系統論[蘭超宇宙學理論]式中 為作用在質點繫上所有外力的矢量和。就是用微分形式表示的動能定理,它表明:質點系的總動量對時間的變化率等於質點系所受外力的矢量和。可以看出,質點系總動量的變化僅與外力有關,並不受質點系中各質點相互作用的內力的影響。
主導的連續性
因為主導存在加法原則(+原則),所以主導存在連續性,可以連續主導。
那么我們推斷未導的物體A,在連續主導的情況下,等到一個正確的物理結果的過程中,每次主導的物理過程中物理推斷都會依次正確。
這是主導理論的一個重要推斷。
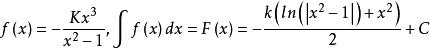
如單擺模型,靜止質點m存在動量,那么在時間t內也存在衝量,即動量定理,當然動量與衝量(質點的動量定理)在物理過程都是正確的。
根據上面的數學推導實例已經用微分形式證明。
那么我們再用積分形式證明。
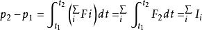
系統論[蘭超宇宙學理論]積分形式的動量定理積分式,並用p1,和p2,分別表示質點系在時間t1和t2的總動量,則有: ,
系統論[蘭超宇宙學理論]式中 為時間間隔t2-t1內作用於第i個質點上的外力的衝量。上式是用積分形式表示的動量定理,它表明:在某力學過程的時間間隔內,質點系總動量的改變,等於在同一時間間隔內作用於質點系所有外力的衝量的矢量和。
由於動量定理和質心運動定理是可以相互推導的,所以這兩定理在本質上是一致的。
神奇的主導
主導是絕對的,未導是相對的。在宇宙上的任意地點適用。
因為物體在主導狀態時,會覺得宇宙上的任一物體會發生改變,或者在發生某種聯繫變化,所以主導狀態時會產生意識變化,數學形態變化和物理變化,而數學形態變化主要是幾何形態變化。
當我們在主導狀態時,區別觀察一個與外界處於隔開狀態,相互獨立,此時意識不到宇宙上的任一物體會發生改變的未導狀態,我們去觀察一個可愛的物體時,你會覺得它會非常的可愛或異常可愛,因為物體在主導狀態時,會覺得宇宙上的任一物體會發生改變,或者在發生某種聯繫變化,當我們又去觀察一個殘損的物體時,你也會覺得它會非常可愛,因為物體在主導狀態時,會覺得宇宙上的任一物體會發生改變,或者在發生某種聯繫變化,此時你會聯想到一個可愛的物體而產生更加強烈的悲憫,因為主導有連續性,使你產生了聯繫變化。是不是很神奇!!!
系統論[蘭超宇宙學理論]
系統論[蘭超宇宙學理論]經典力學
牛頓的哲學思想基本屬於自發的唯物主義,他承認時間、空間的客觀存在。如同歷史上一切偉大人物一樣,牛頓雖然對人類作出了巨大的貢獻,但他也不能不受時代的限制。例如,他把時間、空間看作是同運動著的物質相脫離的東西,提出了所謂絕對時間和絕對空間的概念;他對那些暫時無法解釋的自然現象歸結為上帝的安排,提出一切行星都是在某種外來的“第一推動力”作用下才開始運動的說法。
系統論[蘭超宇宙學理論]
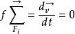
系統論[蘭超宇宙學理論]系統論指出經典力學中孤立質點保持靜止或做勻速直線運動F ,牛頓運動第二定律指出力的作用效果,力使物體獲得加速度。
系統論[蘭超宇宙學理論]O慣性=>nF,
系統論[蘭超宇宙學理論]系統論推導AF《========》OF =>.>.>.>.》》》》
系統論[蘭超宇宙學理論]L為維度,C為時空
系統論補充牛頓經典力學。
系統論[蘭超宇宙學理論]相對論
1917年﹐愛因斯坦利用他的引力場方程﹐ 對宇宙整體進行了考察。為了解釋物質密度不為零的靜態宇宙的存在﹐他在場方程中引進一個與度規張量成比例的項﹐用符號Λ 表示。
愛因斯坦首次用引力場方程來研究宇宙的整體,開創了理論宇宙學的新學科。在他提出“有限無界的靜態宇宙”模型時,已經感覺到了“宇宙有引力收縮的趨勢 ”,為了不讓這個不情願的趨勢破壞了美好的靜態,他特別引入了一個反引力的“宇宙常數”以抵消這種引力收縮的趨勢。1929年哈勃觀察到星系光譜紅移和距離的線性關係,即哈勃定律。人們把紅移歸結於宇宙的膨脹,並推論宇宙是由於一百多億年前的一次 大爆炸產生的,產生了標準的大爆炸宇宙學理論。當愛因斯坦得知了哈勃發現的“宇宙普遍在膨脹”的事實後,愛因斯坦承認自己引出的宇宙常數犯了一個關鍵性的最大錯誤。事實上,愛因斯坦在黑洞問題上最初也由反對意見。可事實是愛因斯坦的宇宙常數是正確的。
系統論[蘭超宇宙學理論]
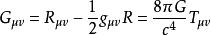
系統論[蘭超宇宙學理論]愛因斯坦引力場方程
說明:這是一個二階張量方程,R_uv為里契張量表示了空間的彎曲狀況。T_uv為能量-動量張量,表示了物質分布和運動狀況。g_uv為度規,κ為係數,可由低速的牛頓理論來確定。"_"後字母為下標,"^"後字母為上標。 意義:空間物質的能量-動量(T_uv)分布=空間的彎曲狀況(R_uv)
解的形式是:ds^2=Adt^2+Bdr^2+Cdθ^2+Ddφ^2 式中A,B,C,D為度規g_uv分量。 考慮能量-動量張量T_uv的解比較複雜。最簡單的就是讓T_uv等於0,對於真空靜止球對稱外部的情況,則有施瓦西外解。如果是該球體內部的情況,或者是考慮球體軸對稱的旋轉,就稍微複雜一點。還有更複雜的星雲內部或外部的情況,星雲內部的星球還要運動、轉動等。這些因素都要影響到星雲內部的曲面空間。
含宇宙常數項的場方程: R_uv-1/2*R*g_uv+Λ*g_uv=κ*T_uv 此處的Λ是宇宙常數,其物理意義是宇宙真空場。Λ*g_uv為宇宙項。 如果從數學上理解的話,則上面的場方程也可解出下面的形式: ds^2=Adt^2+Bdr^2+Cdθ^2+Ddφ^2 式中A,B,C,D為度規g_uv分量。這裡的ds就是表達空間彎曲程度的一小段距離。同時因為4維空間與時間有關,ds隨時間也會變化。這時,如果沒有宇宙項,ds隨時間是增大的,宇宙就是膨脹的。如果加了宇宙項,選取適當的Λ值,ds不隨時間變化,宇宙就是穩定的。如果從物理意義上理解的話,把宇宙項移到式右邊,則是: R_uv-1/2*R*g_uv=κ*T_uv-Λ*g_uv Λ項為負值,起到了斥力的作用,即宇宙真空場與普通物質場之間存在著斥力。宇宙項和通常物質場的引力作用起到了平衡的作用,所以可得到穩定的宇宙解。
系統論[蘭超宇宙學理論]系統論推導宇宙暗能量方程
系統論[蘭超宇宙學理論]魔鬼函式
系統論[蘭超宇宙學理論]系統論推論
系統論[蘭超宇宙學理論]
系統論[蘭超宇宙學理論]魔鬼函式圖像關於 變化
魔鬼函式《系統論》
蘭超出版書籍《系統論》,正在進行第二版。
系統論[蘭超宇宙學理論]![系統論[蘭超宇宙學理論] 系統論[蘭超宇宙學理論]](/img/2/c4c/nBnauM3XzUTMzgDM2MTOzkDN1UTM1QDN5MjM5ADMwAjMwUzLzkzLygzLt92YucmbvRWdo5Cd0FmLzE2LvoDc0RHa.jpg)
