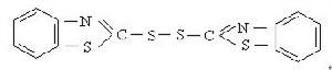
英文名稱 Dibenzothiazole Disulfide
分子式 C14H8N2S4

分子量 332.50
CAS註冊號 [120-78-5]
產品標準 GB/T11408-2003
精品DM是橡膠促進劑DM經過再次加工萃取獲得的精製DM產品,是原料藥AE活性脂的主要原料。
項 目 技術指標
外 觀 淡黃色或白色粉末
初熔點oC ≥ 180
加熱減量% ≤ 0.03
灰 分% < 0.1

化學名稱 分子式 分子量

DM單有兩種表述,但是在本質上的意思上都是差不多的,都是強調的是直接投遞或是郵寄。第一種,DM是英文direct mail advertising的省略...
形式 特點 優點 做法 要點DM是英文Direct Mail advertising的省略表述,直譯為“直接郵寄廣告”,即通過郵寄、贈送等形式,將宣傳品送到消費者手中、家裡或公司所...
簡介 對比報紙 分類 優缺點 校園DM校園DM雜誌(Campus Direct mail Magazine)校園DM雜誌就是校園直投雜誌的意思,與其他媒介的最大區別在於,DM可以直接將廣告信...
雜誌簡介 廣告優勢《新浪潮·精品》雜誌由上優文化傳播(上海)有限公司濟南分公司傾力打造,發行量穩居山東省第一位。
百科名片 雜誌基本信息 雜誌社基本信息由上優文化傳播(上海)有限公司濟南分公司傾力打造,發行量穩居山東省第一位的時尚廣告雜誌。
百科名片 雜誌基本信息 雜誌社基本信息簡介精品藝術網成立於2006年,一直致力於中國書畫藝術傳播、推廣...等。平台行業傳媒集群 藝術品行業DM媒體、手機報、EDM、商務微博、視頻...2001年通過了資訊服務業ISO9000:2000版認證。精品藝術網宋莊畫廊...
精品教育行銷服務集團,是中國最早的專業教育行銷服務機構,在中國首創了教育辦學和教育行銷分工協作的商業模式。 旗下包括中國最大的教育入口網站――中國精品學...
公司簡介 旗下媒體 服務對象 公司理念》頁數僅為28頁,而濟南的《精品廣告》則有100多頁。 1、DM廣告雜誌...的。在DM中,精品與垃圾往往一步之隔,要使你的DM成為精品而不是垃圾...DM廣告(Direct Mail advertising,直接郵寄廣告...
DM廣告簡介 DM的優點 DM廣告的形式 把DM做得更好帖子在DM吧里曾經十分盛行,甚至有很多人每天註冊一個新馬甲,違新,有些人...的語言文字或符號3:他能準確的說出某些人的暱稱或者DM的以前發生過的一些新人...,基本上90%以上的文貼都是這個格式。畫帖分很多,有手繪,鼠繪等等。精品區的吧...
歷屆吧主 帖子種類 生日樓 特色活動 右側解析